川普关税战:从“特里芬难题”走向战略再平衡
文|赵晓
一、问题引入:川普、争议与经济学误判
1. 川普关税战的困惑与争议:他到底在干什么?
自2018年发起中美贸易战以来,川普的关税政策一直饱受质疑:
自由派批他“背叛自由贸易”、搞“民粹保护主义”;
学界批他“制造市场动荡”、搞“自伤式征税”;
投资人抱怨他“打乱全球供应链”、导致“股市震荡”。
尤其在他回归政坛、如今重新掀起全球关税浪潮之后,这些批评声音更加激烈:
“他是在毁掉布雷顿森林体系,是美元霸权的掘墓人。”
但很少有人认真去问一句:
川普到底想干什么?他的底层逻辑是什么?
2. 真相远比情绪复杂:我们正在误读一个战略博弈
川普的做法确实与主流经济学不一致——但问题在于:
主流经济学也没有准备好面对今天这个“脱序世界”。
川普所面对的现实,远不是一个“自由贸易继续推进”的黄金时代,而是:
全球秩序分裂、意识形态分化;
供应链地缘化、安全优先于效率;
制度不对称冲击自由体系底座;
美元信用被结构性掏空的时代。
他不是在“打贸易战”,而是在:
执行一次非常规的全球秩序清洗与重建,以便为美国赢得一次系统再配置的机会。
3. 主流经济模型的局限:忽略了战略变量与战争周期
许多批评川普的论点,往往来自“黑板经济学”的三个隐含前提:
市场是理性的,长期均衡自然形成;
自由贸易带来共赢,不必防范制度风险;
国家利益服从比较优势,而非主权战略。
这些模型在和平年代或对称市场中有效,但在今日的地缘对抗 + 制度冲突背景下,正逐步失效。
而川普的思路,反其道而行之:
他不被“教科书困住”,也不做理论的人质;
他不再服从旧的美元逻辑,而是重新定义“美元信用”的支撑物;
他不从对华顺差/逆差本身谈起,而是从“对手是否试图颠覆秩序”谈起。
这看起来是“打破规则”,其实是为制度重建准备空间。
4. 正确的起点:从“特里芬难题”重新出发,理解战略大局
这就是我们必须提出的关键起点:
川普的战略,其实正是对“特里芬难题”作出的现实回应。
他看到的,不是“多赚一点出口”,而是:
美元信用的战略透支;
制造业失守带来的国家空心化;
制度异质国家对自由体系的“合法掏空”;
潜在战争风险下,供应链对敌的极度脆弱。
所以,本文试图以“特里芬难题”为理论起点,结合制造业回防、供应链重构、规则再主张等政策路径,系统分析:
川普到底要重建怎样的战略秩序?
为什么说这是一次“美元信用的再锚定”?
中国在这套战略中所面对的,是怎样的文明归属拷问?
这一切,都从下面这一问开始:
“特里芬难题”今天还有效吗?它能不能被突破?如果能,代价是什么?路径在哪里?
——这,正是我们下一节将要讨论的核心。
二、理论基础:“特里芬难题”简析与动态演化
(一)什么是“特里芬难题”?
“特里芬难题”(Triffin Dilemma),由比利时裔美国经济学家罗伯特·特里芬(Robert Triffin)在1960年代首次提出,其核心矛盾是:
当一个国家的货币(如美元)被用作全球储备货币时,它必须长期对外输出本国货币(即维持贸易或资本账户逆差),以满足世界对该货币的需求;但长期的逆差又会削弱该货币的信用基础,最终危及其储备货币地位。
简化为一个三难矛盾:
目标 | 所需手段 | 产生后果 |
满足全球美元需求 | 持续贸易逆差 | 削弱美元信用(赤字、去工业化) |
维护美元信用 | 缩减逆差、回收美元 | 全球缺美元、储备危机 |
保持美国内需稳定 | 扩张财政、扩大进口 | 增加负债、失控印钞 |
结果就是:美国必须吃亏,才能维持全球繁荣;但如果吃得太多,它自己会垮。
二、为什么这是一个动态机制,而非静态死局?
传统理解中的“特里芬难题”常被视作死胡同,但我们要指出:
这不是“要么全球繁荣、要么本国信用”的二选一,而是一个可以根据地缘政治、制度挑战、战争风险等因素进行权重调整的战略平衡模型。
在和平年代:美国可以“多吃点亏”来维持国际秩序;
在战略对手崛起、战争风险上升时:美国需要“回收赤字”“压缩外流”,增强内循环。
所以,这不是“不能逆差”或“不能储备”的非此即彼,而是:
能不能容忍逆差、容忍多久、容忍给谁,取决于国际格局的变化。
这也正是川普对旧共识的挑战:
他不是想退出全球化,而是退出“让异质制度对手掏空美国”的那种全球化。
(三)川普视角下的“特里芬再定义”:信用不再靠输出,而是靠支撑
川普对这个问题的判断与传统华尔街路径不同。
在他看来,美元体系之所以濒临危机,不是因为“美元发多了”,而是因为:
美元背后的信用支撑(制造业、制度主导、规则输出)正在坍塌。
因此,问题的核心不是“能不能印”,而是“印出来的有没有人信”。
于是,川普把“信用重锚定”作为其贸易战略的首要目标:
不是退出全球化,而是重组一个制度对称、规则共享的全球联盟;
不是拒绝输出美元,而是拒绝“信用掏空”的逆差;
不是否定储备货币角色,而是要重建其产业和制度支撑。
(四)构建战略平衡的数理模型
我们用一个简化但综合的模型,来描述川普政府背后的战略博弈逻辑。
设定以下变量:
符号 | 含义 |
T | 美国对外贸易逆差(出口 - 进口) |
M | 制造业强度(产业支撑) |
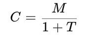
C | 美元信用指数(由制造业和赤字共同决定) |
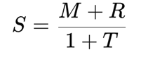
R | 美国的规则主导权(规则输出力) |
S | 国家战略安全指数(决定政策底线) |
我们构建两个函数:
1. 信用函数(Credit Function):

制造业越强,信用越稳;贸易逆差越大,信用越弱。
2. 国家战略安全函数(Security Function):

战略安全依赖于制造业支撑与规则主导,但被逆差结构侵蚀。
我们最终构建一个国家主权稳定性(National Sovereign Stability)目标函数:

NSS(National Sovereign Stability,国家主权稳定指数)是本模型中的核心战略目标函数,用以衡量美国在信用稳定与战略安全之间的动态均衡能力,也是美国的综合决策函数。其含义是:
当外部威胁加剧,安全权重
提升;
当盟友紧密、信用稳固,可能更偏重
;
川普政府实际是在进行一次非线性权重调整:从信用稳定转向主权再锚定。
3、制造业、贸易与美元信用形成一个三维立体的关系
我们可以用下图来表示:
3D关系: 制造业 vs 贸易赤字 vs 美元信用指数


4、战略情境模拟(简化表述)
以下为三种典型情境,用以模拟美国战略选择下 NSS 函数的结构性波动:
战略情境 | M(制造业) | T(逆差) | R(规则) | NSS 表现 | 战略解释 |
危机型 | 低 | 高 | 弱 | 极低 | 制造业空心,信用滑落,安全失控 |
转型型 | 中 | 中 | 中 | 中等偏稳 | 处于战略重构阶段,结果取决于后续路径 |
稳态型 | 高 | 低 | 强 | 高稳定 | 制造力强,主导规则,信用稳固、安全可控 |
(五)模型含义:为什么“贸易逆差”不再只是账本问题?
从这个模型出发,我们可以导出三条关键政策结论:
1. 制造业回流(M ↑)是整个模型的支点:
它既抬高信用,又加固战略安全;
没有制造业支撑的美元,就是“印出来的幻觉”。
2. 逆差压缩(T ↓)是手术刀,而非原则:
川普不必反对自由贸易,但拒绝制度非对称下的“无限赤字”;
关税战不是为了逆差清账,而是为了止损、止血、重构。
3. 规则再主张(R ↑)是长线战略目标:
只有通过谈判重构、CPTPP谈判、关税杠杆、货币联盟等方式输出规则,才能真正提高 S;
这不仅是对某国的回应,更是美国重新定义“全球秩序谁说了算”。
(六)小结:从特里芬难题到关税战,不是理论失控,而是战略清醒
这套模型说明:
川普政府的政策逻辑,并非“违反自由经济原理”,而是在一个即将熄火的全球秩序中,进行必要的主权自保与规则重构。
他不是破坏美元体系,而是试图为美元重建信用锚; 他不是孤立主义者,而是制度净化型的全球重组派; 他不是账本政治,而是战略经济。
川普关税战,不是贸易保护主义的狂热症,而是特里芬难题的动态破解路径。
三、现实演化:为何“旧秩序”无法维持?
在前一部分,我们讨论了“特里芬难题”作为结构性经济逻辑如何推动川普式战略反应。本节我们将进入现实政治经济的土壤中,解释:
为什么以WTO为核心的旧全球化体系正在“崩盘”,而这一切的核心原因不是美国变了,而是世界变了——尤其是中国崛起的“制度异质性效应”。
(一)WTO体系的前提假设:制度趋同 + 规则信任
当年构建WTO、Bretton Woods等自由秩序体系时,基于两个基本假设:
市场制度趋同:各国会逐步走向开放经济、产权清晰、法治透明;
规则信任基础:大家都承诺契约、互认裁决,不搞掏空规则的操作。
这些假设在过去确实奏效了:
日本、德国、韩国、东欧等在加入体系后制度收敛,成为民主国家;
全球产业链在这样的信任机制下运行,贸易与技术实现飞跃增长。
(二)但中国式崛起打破了这一“制度均质性前提”
中国的崛起并不是一场“经济制度趋同”,而是一种“制度异质型国家深度嵌套到规则体系内部”的现象,其后果是:
用国家主导行为对抗私人市场原则:
举国体制下的国企、补贴、金融资源倾斜;
WTO 规则默认企业“市场独立”,而中国企业背后是完整的政府策略;
举例:中兴、华为、比亚迪、宁德时代,无一例外与国家主导战略绑定。
2. 制度黑箱中的权力导向经济:
不透明的政策变动、不可预期的监管环境;
行政干预+大数据监控+信息不对称,形成对市场秩序的系统性扭曲;
这不是“贸易冲突”,是制度位移。
3. 市场换技术 → 技术再反打:
西方一度开放市场,允许中资并购、高校合作、技术转让;
结果是西方技术被反向吸收、反向竞争、反向扩散——低价倾销、标准冲击、地缘输出(如一带一路)。
(三)结果:自由秩序被“掏空性参与者”内爆
这一过程并非中国单方面的“违规”,而是WTO体系的系统性缺陷:根本没有防范,也没有能力处理结构性非对称参与者带来的“规则侵蚀”。
美国逐渐发现:
自己开放市场,换来的是中国制造的强势输出;
自己承担全球货币流动性,反被打掉了制造业;
自己遵守裁决与自由主义话语,反被封口、渗透与意识形态颠覆。
这种深度不对称,促成了包括川普、卢比奥在内的美国精英的核心共识:
“如果继续按这个规则玩,美国将被战略掏空,堕入万劫不复的深渊。”
于是川普开始采取非常规手术:关税、限制、脱钩、谈判重设——这并不是“反自由”,而是反“被自由主义乌托邦掏空”。
(四)小结:
今天的“旧秩序”不是因美国放弃,而是因制度异质性的侵蚀而自然解体。
这不是美国背叛全球化,而是全球化先背叛了自己:
自由市场不能承受掏空性国家资本主义的系统嵌套;
制度信任不能承受对契约毫无敬畏的国家行为体的全面参与;
特里芬难题不是死局,但必须建立在“合作对手”而非“制度对手”的基础之上。
四、川普战略:非常规博弈中的系统重置
(一)“账面型全球化”走到尽头,美国必须重设战略坐标
过去几十年,美国一直承担以下角色:
全球角色 | 美国的付出 |
全球货币提供者 | 输出美元,维持储备需求,导致巨额逆差 |
全球安全提供者 | 军费覆盖多个盟友与通道 |
全球市场开放者 | 吞下最大进口,容忍贸易不平衡 |
全球制度传播者 | 接纳制度异质国家,试图同化其制度文化 |
这些安排建立在一个假设之上:
美国可以用技术、品牌、金融与军事统领秩序,而无需守住制造业与内部平衡。
而今天,川普及其团队认为这一假设已破产:
金融资本脱实向虚,支撑不了主权;
制造业流失,打击了中产与税基;
安全责任被滥用,盟友搭便车;
规则遭掏空,制度信任崩溃。
(二)川普战略:“一个中心,两个基本点”
一个中心:美国重新伟大(Make America Great Again)
两个基本点:信仰回归(文化重建) + 制造业回流(经济重建)
1. 制造业战略回防(M↑)
制造业不仅是就业源,更是信用根基;
没有制造业支撑的美元是“空中楼阁”,无法维持科技领先、军工稳定、国力信用;
回流制造业不是复古,而是为新时代地缘冲突做“主权筑基”。
2. 供应链重构,保障战略安全
川普所见的不是效率最大化的“比较优势”,而是抗冲击能力(resilience);
将关键产业链移出中国、部署到墨西哥、越南、印度乃至美欧腹地,是构建安全闭环;
所谓“脱钩”,其实是一次防火墙式的供应链清洗。
3. 规则重塑权的主动再主张
全球自由贸易已被制度掏空,不如以“联盟制规则”重新启动新一代全球化;
川普强调“对等贸易”,实为换话语主导权;
他用关税战不是拒绝贸易,而是逼迫他国签订“美式条款”——经济北约化。
(三)关税战不是疯狂之战,而是文明自救
对川普而言:
表面目标 | 实质目标 |
贸易逆差减少 | 重建制造业比重,恢复就业结构 |
针对中国商品 | 解除国家主导产业压制自由市场的掏空性威胁 |
逼签协议 | 重建美式规则主导,完成一次“贸易宪改” |
这不仅仅是技术性政策,而是战略性的“城墙加固”工程——防的不是商品,而是体制传染;守的不是GDP,而是国家根基。
(四)“非线性博弈”与“混沌压迫”是其典型战术
很多人批评川普策略混乱,但其核心是“极限施压 + 随机扰动”;
正如博弈论所示,非线性节奏可制造信息不对称与行为迟滞;
看似反复,实为“消耗对手成本 + 暴露其底牌”;
所谓“退一步是进三步”,正是川普策略风格的写照。
小结:
川普的战略不是向过去倒退,而是试图用非常规手段:
为美国赢得一次战略缓冲时间,进行制造业重建、产业链重构与文明自救。
这不是贸易战,而是系统重置; 这不是对抗他国,而是自我止血; 这不是否定全球化,而是要重启新一代基于制度兼容与规则共识的“文明化全球化”。
五、政策含义:“特里芬难题”的当代理解与美中关系再定位
(一)“特里芬难题”不是经济终局,而是文明分岔点
从传统角度,特里芬难题被视为美元体系的内在缺陷。但今天,它应当被诠释为:
一个关于全球化主导权的再分配机制!
在川普式博弈下,我们不仅要问:“美国还能承担多少赤字?” 我们还要问的是:“谁配得上继续留在美国支撑的全球秩序中?”
也就是说:
美国不再为所有国家无差别提供储备货币、开放市场、技术转让;
美国将按制度结构重新筛选合作对象,定义“谁是合格的伙伴”。
这就是所谓的“去异质制度的全球化”重构版本。
(二)中国被推向秩序选择的十字路口
抛开意识形态不论,纯粹基于经济理性,目前中国正面临一个最关键的战略问题:
是愿意制度转型、回归法治契约文明,加入自由秩序?
还是坚持权贵经济、威权统治、党政主导体制,从而被世界主流体系“外科切除”?
从全球化参与者变成“体系风险源”,并不是别人强加的标签,而是中国自己制度行为的自然后果。
中国面临的三重道路选择是:
战略路径 | 代价 | 结果 |
1.宪政法治转型(如德日) | 内部权力重构 | 成为稳定的市场文明体 |
2.坚持“特色体制” | 被贸易联盟边缘化 | 回归“朝贡+内循环”小圈 |
3.模糊对冲(拖字诀) | 面临结构孤立 +投资信心溃散 | 经济系统内耗加剧 |
(三)“再全球化”将变成“制度联盟型全球化”
川普及其战略团队当前做的,并不是取消全球化,而是:
只与制度兼容的国家推进自由贸易、产业整合与货币互认;
对制度异质、战略对手型国家进行脱钩、设限、规避。
这意味着:
全球化将不再是“普世主义”,而是“选边型”;
贸易协定将不仅看价格,更看制度结构;
技术合作将不仅看能力,更看信任指数。
这将开启新一轮的全球秩序分类过程。
(四)中国“被吐出去”还是“愿意留下来”,关键在制度选择
以下几件事,正成为美方及其盟友评估中国“是否愿意留下”的重要判断指标:
是否停止国家补贴型倾销与国企全球扩张?
是否允许市场化、自由汇率机制与资本项开放?
是否保障跨国公司产权与数据安全?
是否给予民间社会(工会)、言论、宗教、媒体以基本自由?
这些指标都不是技术细节,而是文明共识。如果无法迈出改革步伐,中国将面临“系统性排异反应”。
小结:
特里芬难题如今不再是美国的负担问题,而是一个全球秩序“准入机制”;
中国若要继续参与全球化,需要交出一份制度兼容性答卷;
否则,就只能被“吐出”自由贸易体系,在政治上“封锁”,在经济上“再朝贡化”。
六、结语:自由秩序再分类与中国的命运拷问
接下来,不是简单总结前文,而是要将所有经济、战略与制度变量上升为一次文明拷问的形式,留下“再选一次历史”的战略思考。
(一)“特里芬难题”在2025年,不是美元的困境,而是文明的筛选器
“特里芬难题“曾是一个宏观经济命题,描述全球储备货币与本国经济稳定之间的张力。
而今天,它其实应该诠释为:
一个用来分辨盟友与对手、自由与威权、契约共同体与制度掏空者的文明分流器。
美国不再承担自由主义的无限责任;自由体系不再默认所有人都配得上留在里面。
换言之:全球秩序不再是地理国家的联盟,而是制度兼容者俱乐部。
(二)过去三次文明转型的历史机会,中国都错过了
第一次(鸦片战争)
英中冲突其实是自由贸易秩序与封建朝贡体制的正面对撞;
大清选择了闭关锁国、尊严幻象,错过了制度变革的开端。
第二次(入世之后)
2001年加入WTO是千载难逢的“软登陆”机会;
若顺势而为,实现政治与法治转型,中国可成为“第二个德日”;
因中国坚持“特色道路”的战略性双轨运行,终于引发秩序逆流。
第三次(2018-2025中美贸易战周期)
初期仍有妥协空间,甚至一度谈成“90%”;
但“厉害了我的国”与“孙子兵法外交”最终将贸易战1.0机会击碎;
直至今日的贸易战2,0,走入“全面被分类”“准被吐出”状态。
(三)2025:历史再一次要中国按下“生死键”
今天川普团队重启关税战,不是为了羞辱谁,不必上升到敌我层面,而是:
为美国赢得最后一次国家制造力回防机会;
为自由体系设定一道制度门槛;
也为所有制度参与者送上一道是非题。
对中国而言,这道题不是“打不打贸易战”,不是“要不要谈判”,而是:
要不要进入以契约、透明、法治、信仰为本的现代秩序?
愿不愿放弃红色帝国思维、官本位文化、黑箱式国家主义?
(四)中国:有机会有能力,关键是有无意愿
这才是最令人遗憾之处:
不是做不到宪政法治,而是不愿真做;
不是没有学者提出新的路线,而是被边缘化、噤声、污名化;
不是没有民间对规则之治的向往,而是始终被误导与管控。
自由不是美国或任何国家强加的,乃是人类共识; 全球化也不是别人设的局,而是中国深化改革、文明转型的机会。
(五)文明从来不靠实力加入,只靠制度认同留下
融入全球秩序,最终不是靠大国体量、军工水平、外储多少; 真正的“世界主流社会”,只认一件事:
你是否也相信人有尊严、契约有约束、制度能限制权力、信仰能高于政府?
若你相信——欢迎回来,一起发财; 若你拒绝——制度必然排异。
这不是川普的傲慢,而是文明自救的免疫反应,就如同身体的排异反应一样自然。
全文总结:
1. 川普战略的核心(Trump’s Strategic Doctrine)
The problem isn't trade deficits — it's the collapse of the system behind the dollar.
问题不在于贸易逆差,而在于支撑美元体系的根基正在崩塌。You can’t sustain global credit on outsourced production and political naivety.
全球信用不能建立在产业外包与政治天真之上。Reindustrialization is not protectionism — it’s national survival.
再工业化不是贸易保护主义,而是国家生存的必要条件。Trump is not dismantling globalization — he is detoxifying it.
川普不是在摧毁全球化,而是在为全球化“排毒清洗”。You can’t be in the free trade club if you undermine the rules of the game.
如果你破坏规则,就不配继续留在自由贸易俱乐部。
2.对“特里芬难题”的战略性回应(Reframing the Triffin Dilemma)
Trump’s tariff war is not a regression, but a strategic reboot of global order.
川普的关税战不是退步,而是一次全球秩序的战略性重启。The Triffin Dilemma is not a dead end, but a warning signal to rebuild credibility.
“特里芬难题”不是绝境,而是重建美元信用锚的战略警钟。De-globalization is not the goal — structural cleansing of dysfunctional interdependence is.
川普并非反对全球化,而是要清洗失控的异质制度互嵌。
3.自由贸易的未来逻辑(The Future Logic of Free Trade)
Free trade without free institutions is an illusion.
没有自由制度支撑的自由贸易,只是一场幻觉。Future trade alliances must be built on legal symmetry, contract credibility, and shared norms.
未来的贸易联盟必须建立在法律对称、契约可信、文明兼容之上。WTO has collapsed in spirit — what remains is a filtered globalization.
WTO已经破产,全球化正在进入过滤重组的新阶段。
4.中国所面临的历史性抉择(China’s Historic Choice)
China must now decide: stay and transform, or be ejected and retreat.
中国必须抉择:留下来就必须改革,否则就会被清除出局。No more rule-bending, no more gray zone exploitation.
不再能靠“打擦边球”继续留在游戏桌前。The real question is not whether to challenge America — but whether to transcend ourselves.
真正的问题不是挑战美国,而是自身的文明突破。
5.文明的自我筛选已开始(The Civilizational Sorting Has Begun)
2025 is not just an economic turning point, but a moral and institutional reckoning.
2025不是一场经济转折点,而是一场制度与文明的总清算。To join the free world, one must be free.
若要加入自由世界,首先必须成为自由国家。This is the real “great transformation” awaiting the Chinese people.
这才是真正属于中国人的“百年未有之大变局”。
