国家科技奖励--从提名到初选:狸猫换太子--换上的也是错误百出的垃圾
发表时间:+-
7月27日国家奖励提名公示数学家和数学项目与9月22日初选公示居然全部调换,就是说9月22日初选人员没有公示,直接获得初选。
中国科学管理机构就是一群犯罪集团。
https://www.nosta.gov.cn/pc/zh/yclm/tzgg/1702.shtml
7月27日有:席南华-田野-莫毅明-黄飞敏-刘建亚.....等无耻之徒。
https://www.nosta.gov.cn/pc/zh/yclm/tzgg/1705.shtml
9月22日有周向宇-江文帅-王国祯等。
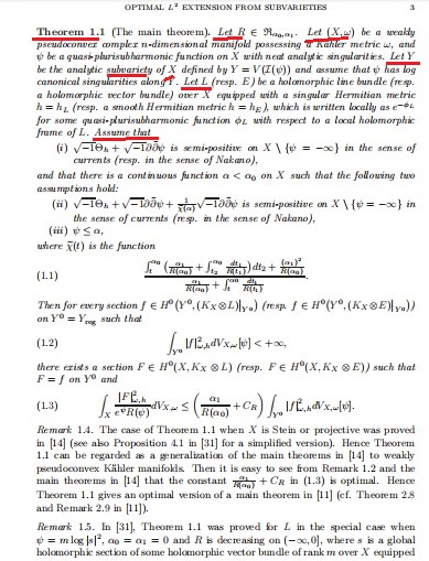
周向宇的错误
https://bbs.aboluowang.com/thread-1154806-1-1.html

王国祯的错误
https://bbs.aboluowang.com/thread-1157168-1-1.html
江文帅的错误,也是使用归纳法证明

