量子力学的哲学根基
不久前我在中文论坛网站上旁观一场关于量子力学的讨论。有人问,经常听人说起“薛定谔猫”,到底什么意思?为什么猫既是活的又是死的?几个回答很有代表性:
1. 微观世界很奇妙,各种诡异的事都存在,与我们熟悉的宏观世界很不一样。
2. 就是个概率问题。如果人不打开暗盒,里面的猫既可能是活的、也可能是死的。人打开看, 结果揭晓。量子力学把这叫“坍缩”。
3. 第三个人熟悉量子力学,同意第一位,进一步解释道,量子力学中有个“退相干”过程,指宏观事物由大量微观粒子组成,它们之间互相干扰,造成很多量子现象消失。人生活在宏观世界里,所以无法理解猫同时既活又死。
这几位都道出“薛定谔猫”的一些特点,但都没说透彻,所以问的人听完后还是似懂非懂。我在国内接触过名牌大学物理系老师与同学,出国后又遇到过一长串国内物理专业顶级毕业生,也都存在类似理解上的模糊与缺失,所以觉得有必要认真讨论一次。
一 唯心论进入科学
量子力学的诞生归功于三个人,海森堡、薛定谔、和玻尔。量子概念最早于1900年进入物理学,但长期没有完整理论。1925年中,海森堡提出“矩阵力学”(Matrix Mechanics),是历史上第一套逻辑自洽的量子力学体系。1926年初,薛定谔发布薛定谔方程,创立“波动力学”(Wave Mechanics),把量子力学归结为波运动,与矩阵力学对峙。1926年夏,量子物理创始人之一,德高望重的玻尔出面主持,希望将矩阵力学与波动力学归纳融合,但遭薛定谔抵触。1927年10月,在著名的第五次索尔维会议上,玻尔和海森堡联手推出量子力学的哥本哈根诠释,采用海森堡的矩阵力学作为基本哲学思想,但在方法论上更倚重波动力学。

图1. “史上最聪明的合影”,摄于第五次索尔维会议(5th Solvay Conference, 1927.10.24-29)。其中标注了本文出现的一些人名。当时海森堡只有25岁,像个大孩子,虽是最重要议题提出者、会议主角之一,却是初出茅庐、资历太浅,只能站在最后排角落里,位置还不如薛定谔。爱因斯坦48岁,已功成名就,被公认为世界物理学界领袖,坐在最前排正中央。物理学界大佬们,如普朗克、洛伦兹等,围绕他坐在旁边,如众星捧月。这次会议和这张照片在科学史上都赫赫有名。
哥本哈根诠释迅速成功,至今依然是量子力学主流诠释。但薛定谔一直不能接受,他因此被逐渐边缘化。经过近十年认真思考,他在1935年写信给同样反对这个诠释的爱因斯坦,信中提出“薛定谔猫”思想实验。他的猫既生又死,意在彰显哥本哈根诠释多么荒谬。但他肯定没预料到,这只猫现在却成了全世界初学者理解哥本哈根诠释的重要工具。
薛定谔是量子物理顶级大师,把心得说给另一位物理学顶级大师爱因斯坦听,却选择用一只猫承载自己的思想精华,而没有选择任何真的实验或具体观点。为什么?因为薛定谔、连同爱因斯坦,之所以反对,并不在于那些细节末梢。他们从一开始就看懂了海森堡的思想本质。他把唯心主义哲学直接引入物理,认为现实世界背后有个彼岸世界,正面挑战主导科学界几个世纪的实在论、或称科学唯物主义,才让那么多顶级科学家极端不舒服、坚决反对。很多人至死不渝。
(Exp. 1) 海森堡把唯心主义哲学直接引入物理。
A.分析“薛定谔猫”

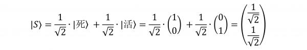
图2. 左:现实世界,其中猫只可能活、或者死,不可能同时既活又死。右:对应的状态空间,是个抽象数学空间,其中存在状态矢量|S? = a?|死? + b?|活?。符号|??是状态名,代表列矢量;|死?和|活?是状态空间坐标系的单位矢量;a和b是复数。状态空间是二维复数空间,也是四维实数空间,再算上时间轴,就是五维实数空间,在现实中不存在,超出一般人想象范围。
海森堡发明了,或更准确地讲是“发现”了,现实世界背后有个抽象的量子状态空间。以薛定谔猫为例,在现实世界里,猫有且只有两种可能,生或死,不可能同时既生又死。但海森堡构造了一个数学空间,就是上图右侧的抽象状态空间,以“猫死了”为x轴,以“猫活着”为y轴,并定义两个单位矢量:

它们是状态空间的“基底矢量”,分别定义x轴和y轴,对应“基底状态”。状态空间中任一点都可以表达为:

在现实中,a和b取值严重受限,只能是0或1,|S?必须是基底矢量之一。但状态空间是个数学空间,只受数学原理制约,不受现实制约, a和b在其中取值更自由,包括可以是复数,只要满足:

其中|a|^2和|b|^2 分别代表“猫死了”和“猫活着”的概率,二者之和必然为1,所以|S?是单位长度矢量。这是“玻恩定则”,指量子状态出现的概率是它复数系数长度的平方,由海森堡的老师玻恩首先发现。为便于理解,这个例子假设a和b为实数,|S?落在以(0,0)为圆心的单位圆上。如果a和b为复数,|S?的轨迹是4维空间中3维单位球面,一般人难以想象。
很显然,当a和b取非0、1值时,|S?在现实中没有对应状态,只存于状态空间。一个简单例子,假如a和b为实数,且猫死和活的可能性一样高:

这就是一个让很多人疑惑的 “薛定谔猫同时既生又死”状况。他们疑惑,因为他们眼光局限于现实世界。海森堡为量子力学打造的抽象状态空间不在现实里,而是唯心主义哲学讲的彼岸世界,或更准确地讲,是彼岸世界里的一部分【17】。
(Exp. 4) 所有独立于物质世界和人脑而存在的东西构成彼岸世界。
当年围绕哥本哈根诠释展开大争论时,相关物理学家们都懂得它的唯心论本质,包括海森堡、玻尔、薛定谔、和爱因斯坦。要理解现代量子力学、或其中的薛定谔猫,就必须先了解唯心论基本逻辑、接受彼岸世界理念。但国人普遍不知唯心论,这就是为什么在中文论坛里大家热烈讨论薛定谔猫,却讨论不出个所以然。我从没读到过中文物理教科书或专业文章讲清楚哥本哈根诠释的基本道理,也从没遇到过国内物理专业老师或同学把它说清楚过,所以我要写这篇文章。
(Exp. 5) 在且只在彼岸世界里,薛定谔猫可以既死又活。
B.观测与观测难题
我曾介绍过,实验者的“观测”在量子物理中占据重要地位【15】。根据哥本哈根诠释,观测造成两个后果:
1. 叠加态坍缩
量子叠加态只存于彼岸世界,坍缩让它随机变成现实中可行的基底状态之一。比如“猫既死又活”变成“猫或死或活”,|S? = 1/√2?|死? +1/√2? |活? 坍缩成|s? = |死?或|活?。如上图所示,在数学上,坍缩是在状态空间中|S?向x或y轴投影,过程中丢失部分信息,比如相位角θ。在哲学上,坍缩是彼岸世界向现实世界投影,因丢失信息所以不完美。世界的本质是量子的,坍缩是量子态变成现实的重要、甚至唯一方式。量子力学与2500年前的柏拉图哲学不谋而合:
(Exp. 6) 量子坍缩印证柏拉图理念,现实是理型世界不完美的影子。
理型世界就是柏拉图版本的彼岸世界。人生活在现实中,科学研究现实。坍缩造成量子态变成现实,是物质生成机制。但薛定谔不能认同。他并非没道理。坍缩有很多问题,其中最根本一条,它违反逻辑。具体讲,它违反逻辑公理“充分理由律”PSR。PSR说,“任何事务发生,背后都有充分理由”,如不存在“无中生有”【16】。
(Exp. 7) 哥本哈根诠释的坍缩理论违反逻辑公理PSR。
薛定谔猫从叠加态|S?坍缩到|死?或 |活?,哥本哈根诠释只能解释其在大样本中的概率,却不能解释单次坍缩结果。现实在微观粒子不断坍缩中产生。根据简单估算,人体内每秒发生量子坍缩次数约为10^20 – 10^30。可想而知,宇宙自诞生以来发生的坍缩次数多么巨大。坍缩对物质世界如此重要,科学却无力解释,而且完全看不到希望。这就是著名的“观测难题”(The Measurement Problem)。
(Exp. 8) 科学无法完全解释坍缩,被称为“观测难题”。
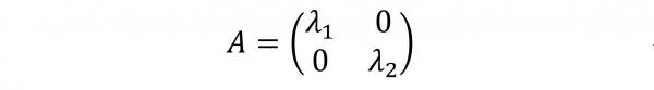
2. 观测矩阵
在哥本哈根诠释中,“观测”由复数域里的观测矩阵A表达,A的特征矢量是状态空间的基底矢量,观测结果是其对应的特征值。在量子力学中,观测结果都是实数,所以A的特征值总是实数。在薛定谔猫例子里,A的特征矢量是|死?和|活?,所以:


比如我们要观测猫身高h。死猫躺着,高度为10cm;活猫站着,高度为20cm。那么:

观测先造成|S?坍缩到基底状态|s?,然后:

总之,海森堡用线性代数描述量子系统。其中量子状态由矢量代表,状态变化或人为操作,包括观测,都由矩阵代表,所以他的体系被称为“矩阵力学”。
自从四百年前伽利略开创现代科学以来,很多人开始信仰科学、认同无神论,因为觉得科学可以解决宇宙中一切问题。现代科学确实曾声称能够解决一切问题。比如根据牛顿物理,人只要知晓宇宙在某个时刻的完整状态,就可以精确推算出过去、或未来任何时刻的状态。如果科学真能解答所有问题,神自然不再必要。但在20世纪初,爱因斯坦和海森堡等人掀起新科学革命。哥本哈根诠释告诉人,科学寻遍现实,依然不能回答宇宙中一个根本问题,就是量子态蕴含巨量可能性,为什么单单坍缩成我们身处的这个现实?
(Exp. 9) 科学无法完全解释现实世界。
最简单直接的答案是,现实之外有个意志让宇宙如此,在幕后挑选了每个坍缩结果。根据定义,这个意志就是神。接纳神存在,坍缩就符合PSR、不再违反逻辑,“观测难题”也就迎刃而解。但科学界不接受这个论点,大概也不应该接受。因为科学的目的就是研究现实,科学理论必须在现实范畴内,而神在这个范畴之外。科学本质上是一门专业,针对整个世界的一部分,而非世界本身。所谓“术业有专攻”,受其本质限制,科学无力、也无须回答世界根本问题。
(Exp. 10) 探究世界的根本,不能完全依赖科学,最终只能依赖信仰。
二 真知灼见来自顿悟

图3. 左:海森堡(Werner Heisenberg, 1901 – 1976)。右:他的家族墓碑,十字架在中央。他们全家都是虔诚的基督徒。海森堡有句广泛流传的名言,“自然科学就像一杯水,你喝第一口,它会让你变成无神论者;但你喝到杯底时就会发现,神正在那儿等着你。”
海森堡提出矩阵力学时只有23岁。他的革命性科学思想从哪里来?为回答这个问题,我们简略追踪他的成长经历。1901年底,他生于德国中部一个小城。他父亲原是中学老师,专攻东罗马哲学和希腊文,后因学术成就特别优异,被慕尼黑大学聘为正教授,非常罕见。他母亲是家庭主妇,外祖父是位德高望重的中学校长。他家算不上显赫,经济小康,但书香门第,让海森堡从小好学。
国人对近代欧洲的印象经常被法国大革命、苏联革命、及其他众多左派革命与社会运动主导,但德国不符合这种印象。德国是基督教新教改革的故乡,在第一次世界大战之前虽经历多场战争,却几乎都为维护基督教而战,没有经历过大规模反基督教革命或社会运动,所以民间基督教传统坚实深厚。尤其在1871年建国之后,德国全方位崛起,民众愈发自信,基督教信仰更加深入人心。海森堡父母都是路德派基督教徒。路德派就是新教创始人马丁路德的教派,是德国基督教主流。海森堡和父母一样,一辈子对神虔诚。晚年时他总结自己追求科学的心得,却重点谈到信仰。他说:
“在科学史上,自从著名的伽利略受审以来,人们一再声称科学无法与宗教(指基督教)相调和。尽管我现在深信科学在其领域内不可动摇,但将宗教视为人类过时思想、未来必将被摒弃,我发现那不可能。在过往生涯里,我不得不反复思考这两种宗教(指科学和基督教)之间的关系。我从没怀疑过它们揭示的事物都真实存在。”【12】
在各级学校里,海森堡都是模范学生,除体育之外,所有科目都顶尖。他体育也不差,只是不顶尖。他健康、聪慧、乐观、与人为善,被周围人喜爱和看好。但有时他也爱争强好胜,骄傲到近乎自负,是典型德国人性格。唯心主义哲学与基督教观念相通。德国人广泛信仰基督教,所以唯心主义哲学在德国大行其道,仅在近300年里就产生了康德、黑格尔、费希特、叔本华、胡塞尔等众多世界级唯心主义大师。海森堡从小喜好哲学,十几岁读柏拉图名著《蒂迈欧篇》,对神如何创造和维持宇宙印象深刻。成年后回忆,他常谈到青少年时期与老师和同学们争论哲学问题的情景。他说,“我的思想是在学习哲学过程中成型的,就是柏拉图之类的东西”【2】。
第一次世界大战(1914-1918)强烈冲击德国。海森堡当时12到16岁,不可能参军,但非常爱国,积极加入类似童子军、青年团的各种组织。这些组织都依附于教会,推崇基督教道德与哲学、传统贵族精神、集体荣誉感、和爱国主义,同时提倡德国文学与音乐等。海森堡在这些团伙中结交很多朋友,其中大比例后来成为牧师、神学家等。他自己的人生观、思想方式、生活习惯等,也在这个时期成型。比如他开始热衷歌德的诗、并喜欢演奏钢琴,后来保持一生。大战结束后,海森堡自愿参加德国著名民兵组织“自由军团”,与信奉马克思主义的巴伐利亚苏维埃共和国作战。但他只有18岁,没机会真刀真枪上战场。这个苏维埃国也短命,一年之内灭亡。后来他把这段经历只看成有趣的历险记。再后,他进入哥廷根大学主攻物理,把在战争时期积攒下来的对神与国家的满腔热忱都投入科学,迅速出类拔萃。
A.玻尔与海森堡相识

图4. 左:玻尔(Niels Bohr, 1885 – 1962)。 中:1934年玻尔与海森堡在哥本哈根。右:经玻尔量子化改进后的原子行星模型,其中标注爱因斯坦光子能量公式 E = hf;h为普朗克常数,? = h/2π是约化普朗克常数,f为光频率,w = 2πf是角频率。
1922年夏,量子物理鼻祖之一,年仅36岁的玻尔来到哥廷根大学访问。玻尔因提出量子化原子行星模型,刚刚获得诺贝尔物理学奖。早有科学家提出,电子绕原子核转动,就像地球绕太阳转动那样。玻尔提出修改,认为电子只可能处于几个固定轨道,代表离散的能量级,不能持续发射电磁波,所以不会因能量损失而坠入原子核。玻尔模型成功解释了很多实验现象,但违反经典电磁学。当时没人能解决这个矛盾。海森堡年仅20岁,在报告会上公开提问,玻尔立刻感到这个年轻人独特。会后两人继续讨论,越讨论越投机,于是一起到校园附近的树林中散步,肩并肩又交流了几个小时。这次谈话深刻影响海森堡一生。后来他回忆道,“(我)真正的科学生涯就始于那个下午”【6】。
散步中玻尔信马由缰,谈及量子领域多个前沿问题。关于原子内部世界,他说我们知道的越多,就越觉得不可思议。我们没有语言描述那里的微观世界,因为日常语言都源自宏观世界,科学语言都基于经典物理。海森堡听得兴奋不已,并惊奇地发现,玻尔根本不把原子內部粒子看作物质世界里的东西。物质世界里的东西都有位置、速度、形状等,但在原子内部,这些变量全都不可测量,所以都说不清。海森堡急切地问,“那么我们要怎样理解原子?”玻尔迟疑了一下,然后说在到达那步之前,“我们必须首先搞懂到底什么才算‘理解’”【6】。
B.赫尔戈兰岛顿悟
海森堡身处量子物理急需突破的历史关头。1900年,普朗克在研究黑体辐射时成功引入量子概念,标志量子物理诞生。但在之后25年里,量子理论成为科学家们集体 “作弊”手段。每当经典理论无法解决问题时,他们就把量子概念搬出来试一试。有时成功、有时失败。无论哪种情况,他们都说不清为什么。比如玻尔量子化原子内电子轨道,但无法解释为什么处于最低轨道上的电子不发射电磁波。爱因斯坦在1905年研究光电效应时将光量子化,也就是把光看成粒子,意味光有波粒二相性。这点我们中学时都学过。但他没解释为什么在光电效应里光是粒子、在其他情况下是电磁波。1924年,法国物理学家德布罗意提出所有粒子都有波粒二相性,也没解释为什么。矛盾越来越尖锐,量子力学基础不明、逻辑不清的状况愈发刺眼,到了荒唐可笑的程度。当时物理界流行一个笑话,说这星期一三五光是波、二四六是粒子,下星期的安排还没确定。
海森堡是学术天才,20岁进大学读本科,23岁拿到博士学位,25岁被任命为正教授,是德国历史上最年轻正教授之一,30岁获得诺贝尔物理学奖,又是历史上最年轻获奖者之一。1925年他博士刚毕业,留在母校哥廷根大学,为玻恩做研究助理,大方向是利用光谱探讨原子结构,涉及各种量子现象。那年夏天,花粉泛滥,他严重过敏,所有药物都压制不了。忍无可忍,他只身来到位于德国外海的赫尔戈兰岛上修养。这个岛很小,大约一平方公里,没几个居民,风景秀丽,当然没有花粉。他放松自己,每日或登悬崖看风景,或咏颂歌德诗作,但头脑里时隐时现总在想象着原子内部世界。一天半夜,他突然想通了。后来他回忆,“那是凌晨3点左右,最后结果突然摆在我面前。我深深震撼,非常激动,完全睡不着,就走出房间,登上一块海边巨石,独自等待日出”【13】。这就是矩阵力学的由来,海森堡因此获得1932年诺贝尔物理学奖。这个故事被称为“赫尔戈兰岛顿悟”,在物理学史上赫赫有名。

图5. 左:俯瞰赫尔戈兰岛;右:岛上特别立碑纪念“赫尔戈兰岛顿悟” (Epiphany at Helgoland)。碑文写道,“1925年6月,海森堡23岁,在此获得量子力学领域突破。(其)关于原子场自然规律的基本理论,深刻影响人类思想,远超物理学范畴”。
C.施特恩-格拉赫实验与量子自旋
薛定谔猫直观易懂,但毕竟只是寓言,经不起严肃推敲。猫、暗盒、和其他实验器具都是宏观事物,内含天文数字的基本粒子,相互作用错综复杂,造成薛定谔猫不可能真的体现量子性质,最多只是个思想试验。要讨论量子物理,我们必须刨析微观世界中真实的量子现象。量子“自旋”(Spin)是每个微观粒子的基本性质,也是众多物理现象背后的原因,涉及数学简单,类似前文对薛定谔猫的分析。施特恩-格拉赫实验就是关于量子自旋,历史地位重要,这节选它作为进一步理解矩阵力学的切入点。

图6. 施特恩-格拉赫实验(Stern-Gerlach experiment)示意图。实验目的是观察、测量自由电子角动量,是量子物理发展史上著名实验。施特恩在1921年提出实验设计,格拉赫在1922年成功完成实验。两位都是德国物理学家。前者一生82次获得多个学科诺贝尔奖提名,并获得1943年诺贝尔物理学奖。后者是第二次世界大战期间德国核武器项目组重要成员。
在海森堡提出矩阵力学之前,物理学界已猜测到电子存在自转,并且角动量可能量子化。在1920年代初,原子行星模型已是主流观念, 认为原子内部如同太阳系,电子绕原子核转动,就像地球绕太阳转动。但地球不但绕太阳公转,还饶自身南北轴线转动。所以当时科学家们设想,电子也绕自身轴线转动。这就是“自旋”概念的由来。
施特恩-格拉赫实验结果表明,电子确有角动量、并且数值离散,如上图。根据经典电磁学,如果电子没有自转,高速电子沿x轴通过磁场,按左手定则只受到y轴方向洛伦兹力,最终应该落到显示屏中线处。同样在经典电磁学里,如果电子存在自转,按右手定则形成自身磁场,如同一个个小磁棒。虽然小磁棒朝向随机,但在磁场中都受到z轴方向磁力,投射到显示屏上,应该呈现一条线,沿z轴方向延展。但实验中显示屏上形成两个分离亮区,沿z轴方向发散。它们没有连成线,屏幕中线上也没有亮区,说明电子有角动量、且角动量数值量子化。
这个实验看似直截了当,却困扰物理学界很多年。倒不因为量子概念本身,而因为实验测得电子角动量过高。根据已知电子质量与半径,物理学家们推算出电子表面速度,远高于光速。爱因斯坦在1905年提出侠义相对论,在1915年提出广义相对论,都认为物体速度不可能高于光速。在1920年代初,主流物理界已广泛接受这个观念。
矩阵力学出现后,困境才解除。海森堡理论的含义是,在人观测之前,微观粒子不存于物质世界,只存于彼岸世界。在人观测后,它们才从彼岸世界坍缩到物质世界,变成一个个“硬体小球”。在矩阵力学出现之前,物理学家们从经典物理中汲取直觉,都是想当然的实在论者,以为微观粒子就是现实世界里的一个个硬体小球。在上图中,观测发生在电子撞击显示屏时。在此之前,电子在磁场中穿梭,以纯数学形式存在,是个数学对象,并不是硬体小球。所以电子自旋,是数学对象的一个数学性质,完全抽象,不代表硬体小球做机械自转。根本就没有这样的小球,所以不存在球面速度超过光速的问题。
(Exp. 11) 在观测之前,自由粒子只存于彼岸世界,是纯数学对象。
电子游戏可以帮助人理解量子物理。战斗游戏中常有“战士”、“武器”、“生命”等元素。这些称呼、连同相关屏幕形象、音响效果等,勾起游戏玩家直觉,仿佛它们是真的战士、真的武器、真的生命等。但它们本质上只是屏幕上的特定像素组合、扬声器里的特定音效等,背后都是几行程序编码,并没有任何实体。与此相似,电子、动量、能量、角动量等,也都勾起人相关直觉,让人联想到生活里的经验、或经典物理中的概念等。但在坍缩之前,微观粒子只存于彼岸世界,并不是现实世界里的物体。所以它们的各种性质都是数学概念,也只存于彼岸世界。
在海森堡提出矩阵力学几年后,奥地利物理学家泡利提出较全面的量子自旋理论,并因此获得1945年诺贝尔物理学奖。角动量L与自旋数s之间关系:

其中s只可取值整数或半整数0, ?, 1, 3/2, 2, 5/2…;s和L都量子化。

自旋数s非常重要。物理学家们发现,s为整数的粒子在宇宙中负责传输力,其中最简单的是光子,s = 0。s为半整数的粒子构成物体,其中最简单的是电子,s = 1/2。自旋数为s的粒子可以取多种量子状态,以数值为名,分别为-s, -s+1, … s-1, s。比如光子s = 0,只有一个自旋态;电子s = 1/2,有两个自旋态,-1/2和+1/2,分别代表下旋与上旋。
(Exp. 12) 整数s粒子传输力, 半整数s粒子构成物体。
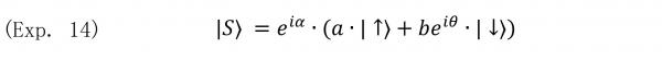
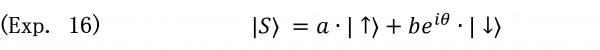
虽然角动量是矢量、在x, y, z三个方向上都取值,但人们通常只关注磁场方向(图中z轴)。电子在z轴的自旋有两个可能状态: sz = +1/2,对应上旋,状态名称为|↑?;或sz = -1/2, 对应下旋,状态名称为|↓?。
在数学处理上,电子在z轴上的自旋问题与薛定谔猫类似,抽象状态空间也是2D复数空间,或4D实数空间,也有两个基底矢量:

其中f和g是复数,|f|^2 + |g|^2 = 1,代表总概率为100%。不失一般性,上式可改写成:

其中a,b都是实数,exp(iα)和 exp(iθ)纳入表达式中所有虚数成分,a^2 + b^2 = 1。因为exp(iα)在括号部分之前,代表将括号部分在复数空间中逆时针转动α,所以α称为全局相位。类似地,θ代表|↑?与|↓?系数之间的相位差。物理学家们很早摸索出一条量子物理中的重要规律:
(Exp. 15) 全局相位不影响任何可观测量。
所以全局相位可略去,|S?进一步简化为:

(Exp. 13)和(Exp. 16)类似(Exp. 2)和(Exp. 3),只是前者允许复数系数。
D.矩阵力学小结
设想你是个“侦探”,正在法庭上慷慨陈词,分析名叫“电子”的嫌犯如何作案。犯罪现场叫施特恩-格拉赫实验。你有确凿证据1)电子离开了发射源;2)电子作为一个硬体小球撞击在显示屏上;然后你宣称,电子必然通过了磁场。你感觉自己事实明确,逻辑清晰,结论无懈可击。这时一位名叫爱因斯坦的专家反驳道,“根据你给出的电子起点与终点位置,我计算出它的轨迹与状态,发现它必然高速旋转,且表面速度高于光速。这不可能”。他话音一落,法庭哗然。陪审团觉得你所有陈述都站不住脚,这时你该怎么办?
在1920年代大部分时间里,物理学界就处于“你”的位置。外行人也许感觉不到,内行人知道物理学根基受到挑战,处于严重危机之中。最后,海森堡和好朋友泡利给出解答。他们讲了一个天方夜谭式的故事,说电子确实从发射源飞到显示屏,但它的飞行路径在彼岸世界里,绕开了现实。这虽然解决了问题,但让科学界陷入另一种尴尬。科学与传统神学与哲学斗争几百年,大声疾呼只有现实才真实,现实之外的东西都虚假;科学专注现实世界,可以解决一切问题;结果现在科学无力解决现实中最基本问题,不得不求救于现实之外的彼岸世界。当然,就像大饥荒时医生把饿死人叫“心肺功能衰竭”、经济萧条时律师把房东驱赶房客说成 “行使基于物权返还请求权”,物理学家们也会用艰深难懂的专业术语掩盖尴尬,说电子处于希尔顿空间中一个量子叠加态、以波函数形式运动,让老百姓云里雾里,也就不觉得问题那么严重、局面那么难堪了。
(Exp. 17) 在对抗唯心论几百年后,科学不得不向唯心论求救。
在海森堡之前,很多世界上最聪明的人涉足量子物理,如普朗克、玻尔、爱因斯坦等。他们都看到物理学的危机,内心焦急却一筹莫展。这些人那么博学、优秀、与各种量子理论危机共处多年,却无法像海森堡那样实现突破,为什么?根本原因在于他们的世界观。他们的头脑被他们热爱的科学局限。经典物理以牛顿力学和经典电磁学为核心,把宇宙看成一个大舞台,其中所有角色都是物体,每个物体状态都由其质量、电荷、位置、速度、加速度等几项简单性质决定。在任何时刻,宇宙状态就是其中每个物体状态的合集,且都可以根据其他时刻的状态推算出来。简言之,宇宙完全自给自足。那些伟大的科学家们深信科学,即使普朗克是基督徒、玻尔熟知唯心论,也都认为在研究科学时就应该把科学看得最高,把其他思想都留在门外。在科学研究中,他们理直气壮地追随实在论(realism),或称自然主义(naturalism)、科学唯物主义(scientific materialism)等,所以眼里只有现实、容不下彼岸世界,变得与本文开头讲到的那些中文论坛参与者们相似。深究起来,实在论、自然主义、和科学唯物主义有差别,但它们内涵近似、外延高度重合,在普通人看来,三者经常是一回事。
(Exp. 18) 海森堡把信仰与哲学当真。
海森堡不同,当时只20出头,人生经验完全围绕第一次世界大战前后那些峥嵘岁月。虽然他已成为一名和平时期的科研工作者,但少年的心从没被世俗败坏,依然在为基督信仰激荡,对柏拉图智慧的崇拜还鲜活。当“成熟”科学家们只把《圣经》看成社会传统、把柏拉图理论看成古老寓言时,海森堡把它们当真,认真思考它们,一本正经把它们用到物理学中,所以创立了惊世骇俗的矩阵力学,把物理学建立在唯心论观念基础之上。当然,他并没完全抛弃科学中的实在论,因为科学目的就是研究物质世界,科学要求科学家尽量在物质世界里寻找规律,所以科学中的实在论不可能、也不应该被完全否定。但他看清,科学要真正理解物质世界,就必须超越物质,在物质世界之外寻找根本答案。他总结道:
“现代物理学已经明确站在了柏拉图(唯心主义鼻祖)一边。物质的最小单位其实并不是通常意义上的物体,而是(柏拉图提出的)理型,是只有数学才可能精准表达的理念。”【7】
三 薛定谔与波动力学
思想革命总会遭遇挑战,海森堡的矩阵力学当然不例外。其中最重要的挑战来自薛定谔和他的波动力学。薛定谔比海森堡年长14岁,出生在奥地利维也纳,父亲是个知识分子商人,既博学又富裕;母亲是著名教授的女儿。他从小生活环境优渥,并受到家庭浓厚学术气氛的熏陶,学业优异。第一次世界大战爆发时,他27岁,已获得博士学位,并在维也纳大学做满4年研究助理,刚获得任教资格,却被征召入伍,在炮兵部队里担任技术军官。战争结束时他31岁,重回大学任教,成为光学专家,熟知各种波动理论。

图7. 左:青年时代的薛定谔(Erwin Schr?dinger 1887–1961)。右:薛定谔纪念碑,刻有薛定谔方程的现代表达式,位于维也纳大学校园。
德国在1871年建国,在此之前,奥地利与德国同属德意志地区,维也纳是其中最国际化的都市。1848年大革命席卷欧洲,维也纳知识分子是急先锋,从此左派思想主导这个群体,在德语区里最极端。虽然父母都是基督徒,薛定谔从青年时代起就信仰模糊。第一次世界大战结束,奥地利战败,维也纳知识分子更加反传统。薛定谔身处其中,思想被战争经历强烈冲击,世界观重塑,成为外人眼里的无神论者,但他从未明确承认过。
“无神论”在东西方语境里意义差别巨大。薛定谔其实非常重视宗教与哲学问题,一生从未停止思考,包括花大量时间与精力研习印度宗教与哲学,并认为科研工作就是自己在精神上通往神圣境界的道路。他只是怀疑、拒绝主流社会的传统基督教信仰与相关哲学。他的无神论与现代中国精英彻底唯物、对神完全无知的无神论根本不同。
(Exp. 19) 东西方无神论含义不同。
薛定谔与海森堡世界观两级。前者作为成年人和军人亲历第一次世界大战,而后者当时还是个孩子,只懵懂地旁观。德奥战败,击垮了薛定谔的文化自信,但对海森堡影响甚微。我曾介绍过,第一次世界大战之后,欧洲大陆,尤其战败方,人民普遍对传统文化信心崩塌,各种反传统思潮汹涌。反基督教的逻辑实证主义哲学就以维也纳为大本营,核心人物就是薛定谔的师弟、同事、或熟人【10】。薛定谔很早成为物理界顶尖人物,学术地位比那些人高,自然不会跟着他们跑,但与他们拥有对传统思想同样的怀疑。
薛定谔从一开始就看穿了海森堡矩阵力学的本质,极端反感,嘲讽它为“Transcendental algebra” (形而上代数)。Transcendental在当时德语中很常见,人们在教会里、讨论哲学时、和日常生活中都用到。它源自基督教用语,本意指人放弃现实、追求天上的神。康德称自己的学说为Transcendental idealism,德语区知识分子无人不晓。其标准中文翻译是“先验唯心主义”,不能算错,但丢失了Transcendental包含的丰富意义。康德是虔诚的基督徒,其哲学与基督教义一致,与柏拉图思想一脉相承,认为物的本质是“本体”,也就是关于物质世界的真理,超越人的感官感知,存于彼岸世界。薛定谔说矩阵力学Transcendental,因为他看到其背后的基督教义与主流唯心主义哲学。他的反感表现在物理学里,但原因超越物理学,根植于他的世界观。
A.薛定谔方程
海森堡发表矩阵力学大约半年后,薛定谔在1926年初发表薛定谔方程,代表量子波动力学诞生,与矩阵力学抗衡。薛定谔因此获得1933年诺贝尔物理学奖,比海森堡晚一年。薛定谔方程的现代常见表达式为:

很多人觉得薛定谔方程难懂,其实它本质简单,只不过在量子叠加态下重写中学物理讲过的E = hf,代表能量驱动量子系统如何沿时间变化。我用红字给出公式各部分的简单含义,虽非绝对精准,但能帮人获得直觉。其中Ψ(r,t) 是复数波函数,通常是粒子位置波函数。根据波恩定则,|Ψ|^2代表时空点(r,t)发现粒子的概率密度。r是三维空间矢量,t是时间。r连续,代表在时间t粒子可能处在无数地点, 所以Ψ代表无限多维量子叠加态。等号右侧?是汉密尔顿算子,作用于Ψ得到总能量E的叠加态。等号左侧Ψ对t求导,得到波函数变化速度,与角频率w或频率f密切相关。?代表E量子化。i 保证整个偏微分方程的解是稳定的波动,而非不稳定的指数增长或衰减。形式最简单的波叫作“平面波”,表达式为:

薛定谔方程是科学史上一项伟大成就,至今依然是最常用、最著名的量子力学方程。它把万物都看成波,用复数函数Ψ(r,t)代表。Ψ是多重状态叠加,类似猫同时既死又活,现实中容不下,所以必须引入彼岸世界。很明显,现代版薛定谔方程包含海森堡思想。薛定谔方程之于量子力学,类似牛顿第二定律F = ma之于经典力学。在经典力学中,F = ma让人精准计算世界未来与过去;在量子力学中,薛定谔方程让人精准计算量子系统的未来与过去。但它们也有关键不同。F = ma的所有元素都存于物质世界里,并且牛顿体系不容纳例外。薛定谔方程针对彼岸世界,但存在例外。比如观测造成坍缩,让薛定谔方程变得不适用。
(Exp.21) 薛定谔方程之于量子力学,类似牛顿第二定律之于经典力学。
在1926年最初提出方程时,薛定谔强调它存于现实之中,即使虚数出现在表达式中,也只是为计算方便的辅助工具。他只要复数解中的实数部分。这种狭隘理解限制了方程早期应用,它只被用于静态系统,波函数不随时间改变,比如稳定氢原子内部电子状态等。只有在主流物理学界抛弃薛定谔本人的理解、将薛定谔方程与矩阵力学结合后,它才发挥出其真正效能,比如可以计算动态系统。
薛定谔方程没考虑相对论效应。研究微观世界时,相关空间通常极小,所以广义相对论效应可以忽略不计。但微观粒子速度可以很高,狭义相对论效应明显。目前存在多个计入狭义相对论效应的薛定谔方程改进版,最著名的包括克莱因-戈尔登方程(Klein-Gordon equation),针对自旋s = 0的粒子,主要是光子;还有狄拉克方程(Dirac equation),针对s = ?的粒子,主要是电子。量子物理发展迅速,很多理论和实验都有个变化过程,最初的形式或设置与现代理解不同。为帮助读者用最小成本理解复杂问题,在介绍所有理论和实验时,本文只给出现代版本,除非特别说明。

B.以双缝实验为例
薛定谔的一个核心洞见令人震惊,他说任何东西在微观世界里都是波。这是真的吗?简单的双缝实验给人直观答案。

图8. 量子双缝实验示意图。可采用任何粒子,如电子、光子、质子等,这里以电子为例。发射源每次只射出一个电子,保证任一时刻在发射源与显示屏之间只存在一个电子。电子撞击显示屏,在撞击处留下微小亮点。被成千上万个电子撞击后,在有些情况下显示屏上产生两个亮区,如左图。人自然觉得电子都像“硬体小球”,从发射源射向显示屏,类似子弹从枪膛出发,射向靶子。在另一些情况下,显示屏上产生多个干涉条纹,如右图。人看到后会觉得电子不可能像硬体小球,而像水波,被双缝分成两个波,在显示屏上发生波干涉。我曾介绍过双缝实验【15】。
人通常觉得单个电子就像个硬体小球,但在有些双缝实验中,显示屏上出现干涉条纹,如上图右侧,这就是量子“相干”现象(coherence),直观证明电子不可能是硬体小球,只可能是波。这里用Ψ(r, t)代表其波函数。单个电子的波也可能范围巨大,理论上可能覆盖整个宇宙。当人观测电子位置时,它才从波的形式坍缩成硬体小球。这个小球可能出现在波覆盖的任何地方,所以空间中每一点都有小球出现的概率密度值。根据波恩定则,|Ψ(r, t)|^2就是如果坍缩发生在时刻t,位置点r对应的概率密度。在一个时刻,电子可能出现在多个位置,代表Ψ(r, t)本质是电子位置的叠加态,与前文中薛定谔猫的生死叠加态、或电子自旋s叠加态本质都一样。区别在于后者只有两个基底状态,对应的状态空间是2维复数空间;而前者的基底状态无限多,对应空间内无数多点,其状态空间是无限多维复数空间。
(Exp.23) 量子相干现象直观证明粒子是波。
一般性波函数占据4维时空中每一点,但在双缝实验中,观测只发生在电子撞击显示屏时,且亮区只沿水平y轴方向分布,所以我们更关心撞击前一瞬间单个电子在y轴上的波函数。在这种情况下,时间固定,不是变量;空间只有y轴一维,对应的波函数为φ(y),电子位置叠加态为:

对于每个具体的y = c,φ(c)是复数,对应列矢量|y? = |c?,其维度无限多,每个维度对应y轴上一点,只在c点对应的维度上取值为1,其他维度均取0;左侧|φ?也是维度无限多的复数列矢量。电子撞击显示屏,从波坍缩成粒子,位置可能在y轴上任一点,就是从|φ?坍缩成一个特定|y?,如|c?,对应的概率密度是|φ(y)|^2。可见,坍缩造成系统失去信息,让波函数发生断裂式变化,在数学上不连续,更不可导。坍缩割断了彼岸世界与现实世界,让二者泾渭分明。薛定谔波动力学的现代解读包含海森堡矩阵力学。
C.波动力学直觉可视
薛定谔方程将微观粒子视为波,并给出波变化的微分方程,让很多量子现象直觉可视、很多量子问题迎刃而解。从波动力学角度理解量子相干,如上图右侧,发射源释出的每个电子都是波,类似光波,在经过双缝时变成两束波,然后在显示屏上相遇,就像两束同频光那样发生干涉现象,产生多个条纹状亮区,这就是量子相干。量子物理与日常生活遥远,一般人不容易遇到。但看到波相干条纹,人就直觉感到量子现象发生了。
另一个例子是量子不确定性原理。根据矩阵乘法没有交换律的特点,海森堡推导出这个原理。它是量子力学重大成就,但结论违反直觉,一般人难以理解。将粒子看成波后,这个原理变得简单。下面讲解大概直觉,以动量与位置之间的不确定性为例:

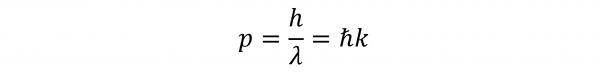
其中p为动量,x为一维空间位置。因为粒子都是波,借用中学物理中光波的动量公式:

这个公式其实适用于所有粒子。其中λ是波长,k是空间频率,k = 2π/λ。对等式两边求导,很容易得到:

其意义,动量的不确定性就是波长的不确定性,也是空间频率的不确定性。根据(Exp. 20),如果只考虑x维度,任何粒子波函数都可以分解成平面波的线性组合:

其中k取值范围是Δk。当Δp非常狭窄,Δk→0,k和λ接近常数,φ(x)接近单一空间频率波exp(i?kx),在空间中无限延展,从宇宙的一边到另一边,所以粒子位置变得极端不确定Δx→∞。反过来,如果要求位置x精准,Δx变窄,φ(x)变得更尖峰。根据傅里叶分析,波越尖峰的空间频谱越宽,Δλ和Δk越大,所以Δp变大。
D.哥本哈根诠释的由来与后续
从1925年7月开始,海森堡在大约一年时间里连续发表3篇重要文章,创立矩阵力学。与之平行,从1926年1月开始,薛定谔也在大约一年里连续发表5篇文章,创立波动力学。两个天才同时灵感大爆炸,互相较劲,嘴炮隆隆。海森堡在1926年写给泡利的信中说道,“我越思考薛定谔理论中的物理部分,就越觉得厌恶。他说自己的理论直觉可视,其实都说不通。简言之,都是胡扯”【14】。薛定谔则把矛头指向矩阵力学中的坍缩概念,称之为“量子跳跃”【9】,因为坍缩造成物理体系不连续,丧失信息,过程不可逆。也在1926年,他当面对玻尔说,“如果我们非得接受这该死的量子跳跃,那我真后悔当初介入(量子领域)”【9】。他原是光学专家,只因发明波动力学才涉足量子物理。
虽然文无第一,但平心而论,矩阵力学很可能是近现代科学史上最大突破、海森堡是牛顿之后最伟大的科学家。世界各地的老百姓都知道爱因斯坦。但论重要性,量子物理不比相对论差;论独创性,海森堡超越爱因斯坦。关于狭义相对论,其核心是洛伦兹时空变换。在爱因斯坦之前,洛伦兹已完成大部分物理概念,庞加莱(Henri Poincaré,1854–1912)已给出坚实的数学分析。关于广义相对论,希尔伯特几乎与爱因斯坦同时完成场方程,二人结论一致,推导路径不同,各有千秋。我远非否定爱因斯坦,只是指出他成功因为站在别人肩膀上,就像绝大多数成功的人一样。但海森堡单枪匹马提出矩阵力学,没有其他科学家的肩膀可站。如果一定要找出他站在谁的肩膀上,我们的目光必须跳出科学界,投向柏拉图、康德、和耶稣。现代人褒爱因斯坦、相对贬海森堡,主要因为后者参与过希特勒的核武器计划。二战后政治氛围造成海森堡被冷藏。
回到1925、26年。整个物理学界为海森堡和薛定谔的成果而振奋,同时也因他们理论之间的明显矛盾而困惑。玻尔(1885–1962)是量子领域公认领袖,与海森堡亦师亦友,在这时责无旁贷,出面协调。玻尔只比薛定谔大两岁,出生在丹麦一个高级知识分子家庭。父亲是哥本哈根大学著名教授,母亲是犹太银行家的女儿。与海森堡家一样,玻尔家也属于路德派基督教,但说不上很虔诚。丹麦在第一次世界大战中严格保持中立,基本没有参战,所以战争几乎没影响到他。他还有个弟弟,曾是著名运动员,作为丹麦足球国家队主力参加1908年奥林匹克运动会,个人多次进球,为团队赢得银牌,退役后又成为著名数学家、哲学家。总之,玻尔来自学术气氛浓厚的精英家庭。
玻尔是康德迷,少年时就崇尚康德哲学,成年后经常与弟弟讨论哲学问题。进入量子领域后,他发现物理学所能知晓的原子内部特征,都与相关实验设置分不开;原子性质不独立于观察者,二者在根本上相关。他愈发觉得康德关于本体与现象的理论说得对。康德认为物体的本质是本体,人不可知;人感知的都是现象;但现象并非纯粹的物体性质,其中参杂一些因素源自人的认知体系。比如因果关系、四维时空等,都存于人脑,是人感知和认识宇宙的大框架,人把它们投射到所感知的事物身上。所以人观察到的现象与人自身有关。康德哲学与量子物理不谋而合【16】。
海森堡刚提出矩阵力学时,玻尔也迷惑了,不敢相信。科学界最顶层通常包含很少人。在1920年代,量子力学界那几个核心人物都在德语区,除海森堡外,都是实在论者。他们之间流行一个词“直观可视”(德文Anschaulichkeit,英文visualizability或intuitive comprehensibility)。他们理所当然地认为,直观可视等同现实世界,二者互为因果,所以物理理论也必须直观可视。比如死猫与活猫都直观可视,所以现实可行;既生又死的猫不直观可视,也就不可能出现在现实中。而矩阵力学是“形而上代数”,与直观可视原则背道而驰,比如允许猫既死又活。与海森堡密切交流后,玻尔比其他人更快转变思维,开始接受矩阵力学,认为虽然人都喜欢直观可视的理论,但微观世界真相如此,物理学要发展,就必须抛弃根深蒂固的传统观念。玻尔的改变与他头脑里的康德哲学密切相关。
1926年10月,海森堡正与玻尔在哥本哈根一起工作。前者视后者为恩师,两人工作和个人关系都密切。在这期间,玻尔写信邀请薛定谔来访,然后主要由玻尔出面,与薛定谔深入交流,目的是将矩阵力学与波动力学协调统一,像黑格尔辩证法倡导的那样,造就超越二者的合命题。据知情者回忆,在相聚期间,为方便讨论,玻尔邀请薛定谔住在自己家里。二人每天争论,从清晨到深夜,都极端投入。大概这样的思想对决太伤身伤神,薛定谔病倒了。玻尔太太为他熬汤。但在他坐在床上喝汤时,玻尔追上来继续与他讨论。在学术思想上,玻尔总体与海森堡一致,但也非常欣赏薛定谔的方法论。他曾对薛定谔说,“我们都非常感激你介入(量子领域)。在数学清晰性与简洁性方面,你的波动力学是重大贡献,比之前所有量子力学体系都向前飞跃一大步”【9】。
可惜的是,薛定谔到最后也没被说服,一生不愿放弃实在论思想,拒绝接受包含彼岸世界的哥本哈根诠释。像他这样的著名科学家还有很多,老一代中有爱因斯坦、美国第一位诺贝尔奖获得者迈克耳孙等【15】,后来有霍金、彭罗斯等。哥本哈根诠释确实还存在问题,比如著名的观测难题。但任何科学理论都有问题。科学在本质上不是真理,只是还未被证伪的假说【16】。在当前,哥本哈根诠释的竞争对手们,比如多世界诠释,荒诞无稽,且不产生可被验证的假说【15】。与它们相比,哥本哈根诠释远更优越,所以是现代量子物理的主流诠释,是名正言顺的科学理论。
每当谈到哥本哈根诠释的历史,人们总会提及两位创始人,海森堡和玻尔,经常漏掉薛定谔。后者实际上也起过重大作用。哥本哈根诠释主要是他们三人智慧的结晶。但薛定谔主要以反对者身份做贡献,所以在平常意义上不能算作创始人。就像中共在很多方面吸取、借鉴了国民党的思想与经验,但蒋介石不能算中共或中华人民共和国的创始人一样。好在薛定谔的贡献没有被埋没,薛定谔方程依然被广泛应用。但现代量子物理的哲学基础不来自薛定谔,而来自海森堡。
二战之后,海森堡因曾参与纳粹核武器计划,被国际社会怀疑和排斥。他与恩师玻尔之间也有了芥蒂。玻尔是丹麦人。丹麦在一战中没受什么影响,但在二战中被德国占领。玻尔并不自认犹太人,但他母亲有犹太血统,所以按纳粹政策他也算。惊吓中他逃亡,仇恨纳粹,不能忍受海森堡帮纳粹。但在德国内部、以及在专业物理界,海森堡从来备受尊重。说到底,纳粹没造出原子弹。西德政府说是因为他阻止,这种说法不太可信,其实是为他开脱。他周游世界讲学,谨言慎行。生活中他夫妻恩爱,家庭幸福,并受到熟人和同行们的敬重。1976年,他因患癌去世。
薛定谔是个极端左派,纳粹没上台时他反对,纳粹上台后占领奥地利,压力之下他改口支持,但依然不被接纳。他只好逃亡,曾逗留美英,但都待不长,主要因为他男女关系混乱,家里有个太太、还有个情妇,三人同住。并且他喜欢未成年少女。西方无神论者大多如此,丧失道德准绳,内心境界类似中国官员。英美大学在那个年代还要求教授为人师表,无法容纳他。他只好在偏僻的爱尔兰工作十几年,兴趣逐渐从物理扩展到哲学、生物学等领域。他退休后,母校维也纳大学发来邀请,并为他特设一个讲座教授职位。他回到奥地利,几年后去世。
四 量子退相干
前文回顾量子力学理论基础与发展简史,这章将依据已介绍的理论,解释一个学过量子力学的人经常谈及、同时又被广泛误解的时髦问题,量子退相关。
大约一年前,我在网上查询量子物理资料,误打误撞进入一个学术讨论组,与其中一位退休老工程师争论起来。他坚决认为观测难题已被解决,坍缩背后的原因就是量子退相干。我给他具体反对理由,他也不相信。言语中他表现得很懂物理学,知道很多细节,却如此抱残守缺,让我错愕。再后他讲起自己经历与思想发展过程。他家祖祖辈辈都是基督徒,几代之前从欧洲移民到北美。他出生在小镇,从小随父母信神。大学里他主修物理,同时进了城,开阔了视野,在校园里结交很多进步派新朋友。于是他开始怀疑神,后来离开基督教。他对我说信教太压抑,不信教后他自由自在多了。我能理解他。认真做基督徒需要承受来自内心与社会的巨大压力,在不信教的人看来明显不合算。
(Exp.25) 信仰带来内心责任与压力,无神论者认为得不偿失。
我是基督徒,他曾经是基督徒,所以我们之间一点就透,交流很快深入。我逐渐懂得他为什么拒绝承认观测难题是个难题。中外古人都信神,“无神论者”本来是骂人话。严肃的无神论哲学历史很短,诞生于近代西方。其最关键理由、甚至是唯一理由,是科学可以解释宇宙万物,所以神不再必要。自文艺复兴起,经典科学大发展,声称可以推算未来与过去,无神论也跟着兴隆。比如马克思明确说自己的无神论基于科学。在他生活的时代,科学就是经典科学。但双缝实验、施特恩-格拉赫实验等证据证明经典科学错了。
(Exp.26) 无神论的存在理由是,科学完全解释宇宙,所以神不必要。
进入二十世纪之后,新科学发现微观世界量子化,物理规律存于彼岸世界,坍缩每时每刻在发生。现代量子物理只能解释坍缩中大样本概率,却无力解释单次坍缩结果。科学家们并非没有努力,只是真找不到原因。事出必有因。找不到决定单次坍缩结果的科学因素,理性的目光自然重新转向神。科学遇到解决不了的“观测难题”,岂不正印证了现实之外有神、神的意志控制宇宙、神完全不受现实局限吗?所以那位老兄不能承认观测难题存在。承认了,就是承认神必要,他的大半生就全错了。后果太严重,他不敢面对。
(Exp.27) “观测难题”代表科学无力完全解释宇宙。
这位老兄绝非个例,很多人有类似心态。比如薛定谔很早走上反传统人生路,不信神、不认同主流唯心主义。如果人到中年,他接受了海森堡的“形而上代数”,岂不等于承认自己的人生全走偏了吗?终其一生他也没表现出那个勇气。2016年,两位数学家主持,严肃调查西方各国专业物理学家们的意见,发现29%认为量子退相关解决了观测难题,另外17%认为观测难题不存在。加在一起,近一半专业物理学家们不愿正视观测难题【11】。
现代科学已变成一个普通行业,大多数科学家们选择做这行,只为挣口饭吃,早不像伽利略、牛顿、笛卡尔、开普勒那样为追求神而研究科学【18】,甚至不像玻尔、海森堡等那样为追求科学真理而投身科学。当今西方学术界时髦无神论,不信神的比例超过社会平均值,根本原因是科学家们“聪明”,不愿为信仰承受额外压力,与那位老兄一样。他们拒绝正视科学、不承认观测难题,其原因也与那位老兄的一样。如果承认了,几乎等于承认神,也就是宣布自己错了。因为“聪明”,科学家们看这个逻辑比普通人看得更清楚,所以他们态度坚定。当前科学界在精神上堕落,很多朋友遇事还迷信科学家们的意见,已不合时宜。
(Exp.28) 承认科学不能完全解释宇宙,近似承认神必要。
A.双缝实验中的退相干
到底什么是退相干(Decoherence)?退相干与量子相干密不可分。前文介绍双缝实验时曾简略谈及量子相干,下面继续以双缝实验为例解释退相干。

图9. 双缝实验的三种结果。从O点向显示屏发射电子,中间经过双缝A与B。左,发生量子相干:在恰当设置下,来自同一个电子的A和B两束波之间发生干涉。发射大量电子后,显示屏上出现多个波纹亮区,如f1。中,单缝实验:将B缝堵住,显示屏上只有一个亮区如f2,与经典物理中将电子视为硬体小球的预测结果一样。右,无相干:调整实验设置,比如将双缝之间距离拉大,让A和B两束波之间空间距离足够远,二者之间完全独立,不产生相干,显示屏上产生两个分离亮区如f3,又与经典物理预测结果一样。无相干与退相干是不同概念。显示屏上亮度代表电子密度,在大样本条件下等于概率密度,所以f1、f2、f3也代表概率密度函数曲线。
从O点出发的一颗电子,其波函数一般形式为:

其中x是波离开O点后行走的距离,α是全局相位。根据(Ep.15)全局相位不影响任何物理观测,且波函数前系数最后重新概率归一,所以a?exp(i?α)可以省略。显示屏上任意P点迎来A和B两束波,分别为:

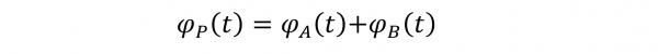
两束波来自同一电子,到达P点时存在一个固定的相位差θ = kΔr,形成组量子叠加态:

波函数在P点是A、B两个波函数的和:

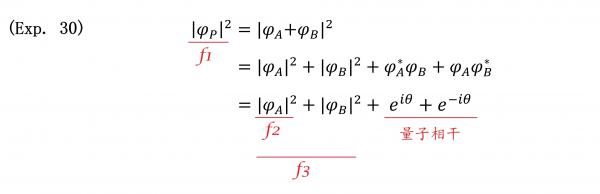
为方便,省去表达式中时间t。电子坍缩到P点的概率密度,也就是P点亮度为:

其中*代表共轭复数,[exp(iθ)]* = exp(-iθ)。等式中exp(iθ) + exp(-iθ)部分代表P点概率密度里的相干部分,数值为实数2cos(θ)。可见:
(Exp. 31) 只要相位差θ稳定且θ ≠ π/2,量子相干就会发生。
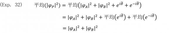
退相干由随机干扰造成。在双缝实验中,电子波函数很容易受环境因素影响,比如在经过隔板时与实验装备发生相互作用,A、B波之间相位差产生随机移动,变成θ?。于是:

可见,P点概率密度里的相干部分消失,代表量子退相干发生。等式中只剩下|φA |^2和|φB |^2,对应f3,与经典物理预测结果一致。
(Exp. 33) 受外界干扰,相位差产生随机移动,造成退相干。

图10. 量子退相干基本原理。退相干依赖数学公式: 当θ?随机,平均[exp(iθ?)] = 0。原因是exp(iθ?) 总落在右图中红色复数单位圆上,而单位圆上的复数平均值是0。

虽然大样本实验中的结果看似一样,量子退相干与经典物理存在本质区别。在经典物理中,单个电子只经由A或B缝中的一个。但在退相干中,单个电子是波,总通过A和B两个缝、分成两束波,撞击到显示屏上才坍缩成粒子。所以退相干依然包含量子物理中独特的“单一粒子通过两条缝”的不确定性质,并且还有个随机坍缩过程,所以:
(Exp. 35) 退相干没有解决观测难题。
B.施特恩-格拉赫实验中的退相干
退相干也发生在施特恩-格拉赫实验。在图6中,显示屏上出现两个亮区,没有干涉条纹,也是量子退相干。其中单个电子存在两套量子叠加,一是空间位置的无限多可能,二是自旋状态的两种可能,上旋和下旋。在电子进入磁场前,它的总状态是两种叠加态的乘积:

其中θ是上旋与下旋之间的相位差。(Exp. 36)和关于双缝实验的(Exp. 29)一模一样,前者的上、下旋波分别对应后者的A、B波。二者其余数学处理与结论也一样,外界干扰让θ变成随机的θ?,进而造成退相干现象。
在施特恩-格拉赫实验中,电子通过磁场时与大量虚光子相互作用。虽然有理论可以计算磁场造成的相位移,但真实实验设置牵扯海量微观粒子,情况错综复杂,引入随机因素,让θ变成θ?。与双缝实验相比,施特恩-格拉赫实验还有个额外特点。同一电子的上旋与下旋波在磁场中受到方向相反的磁力,造成它们在空间上分离,情况类似图9中f3,量子相干可能性进一步降低。
五 结束语:感悟科学与哲学
我读高一的时候,物理课上刚学牛顿三大定律,一天晚上躺在床上睡不着,全然出于无心,头脑里闪过相关内容。我突然觉得“看”到了牛顿描述的世界,明白了他在说什么。他说只要我知道现在每样东西的几个简单参数,如质量、位置、速度等,我就可以精准预计未来。不但是我身边环境的未来,而是整个宇宙的未来,所有和每样东西。于是在黑暗中我觉得天地开了,墙壁和房顶都迅速退去,我独自悬浮在空中,仿佛失去了重量,正从床上向上“跌入”宇宙深处,身边尽是大小星辰。
当时不懂,多年以后我才知道那叫“顿悟”。去年,我与在日本工作的老同学通话,他讲到他在中学时学牛顿力学时经历过震撼,让我又回想起这段少年往事。经典物理包括牛顿力学和经典电磁学,是绝对的物质决定论。其描绘的物质世界永恒、完整。永恒,当然就是无始无终。完整,细究起来包含两个意义。一是它不丢失任何信息。根据宇宙当前状态,你可以回推过去任何时刻宇宙完整状态。二是它不需要任何新信息。根据宇宙当前状态,你可以推算出未来任何时刻宇宙完整状态,无需额外信息。理解这点让我既激动又压抑。
经典物理说万事都是决定好的。未来将是什么样子,只与当前每个质点的质量、电荷、和时空性质有关,都冷冰冰,与人无关,与我无关。人的爱恨情仇、选择、决心、希望、梦想等,都是虚假的,也由某些质点的质量、电荷、和时空性质决定,在本质上是衍生的,毫不重要,对世界、对未来都没有影响,是人的自欺欺人。很明显,如果任何人真相信经典物理,就只可能是唯物主义者和宿命论者。那位在日本的同学也说到,他中学时理解这点后非常郁闷。可惜我俩高中时相隔千里,大学时虽常见面也没机会谈及这类事。
以海森堡思想为核心、以薛定谔方程为补充的哥本哈根诠释,描绘了另外一个完全不同的世界。薛定谔方程与牛顿第二定律类似,也永恒和完整。如果没有观测或坍缩,波函数根据薛定谔方程运动,也无始无终,也可精准推算未来与过去。但二者有根本不同。薛定谔方程描述彼岸世界,波函数存于彼岸世界,只在坍缩后才投射到现实。现实并不独立自主、而源于彼岸世界的坍缩,否定了唯物论。
另外,坍缩造成信息丧失。比如对于单一电子,你观测后发现它在z轴上自旋为下,你无法由此还原坍缩前它的完整状态矢量。同一个现实状态对应无限多个可能的量子状态矢量。每个当前量子状态矢量,通过薛定谔方程,对应一个未来状态矢量。未来状态矢量又可能坍缩成多种未来现实,比如同一个自旋叠加态可能坍缩成上旋,也可能坍缩成下旋。这造成当前宇宙与未来宇宙没有一一对应关系,否定了决定论。

图11. 图解哥本哈根诠释背后的世界观。现实中的现在与未来,通过彼岸世界才互相联系,在现实中没有直接联系。在彼岸世界里,如果完全没有坍缩,根据薛定谔方程,现在与未来一一对应,互可推算。彼岸世界坍缩,造就现实世界,说明现实源于彼岸世界,否定唯物论。但坍缩过程丢失信息,造成现实是彼岸世界不完美的影子。同一个现实对应多个彼岸世界状态,不可能从现实推算彼岸世界。在现实世界里,现在与未来互不可推算。同一个现在对应多个可能未来,反之亦然,否定决定论。
“坍缩”很神秘。物理界承认观测造成坍缩,但什么是“观测”还没有共识。这是观测难题的一部分。我曾介绍过“意识造成坍缩”观点,由天才数学家诺伊曼在1932年提出,著名物理学家维格纳进一步澄清和扩展【15】。主流物理学界抵触这个论点,很少人敢于站出来支持,大概因为意识在科学范畴之外,如果承认这个观点正确,就证明科学有重大局限,对整个科学界不利。行业内的人不说,行业外的人就很少听说。但没有任何实验证伪这个观点。它是当前最简单、直接、符合逻辑和证据的观点,远好于其他竞争观点。科学本质就是未被证伪的假说,“意识造成坍缩”是当前最优解释,又未被证伪,就应该算科学。如果它是对的,那么人的意识参与创造现实,直接支持唯心论,否定唯物论。

图12. 提出“意识造成坍缩”观点的诺伊曼(John von Neumann, 1903–1957)和维格纳(Eugene Wigner, 1902–1995)。两人是一辈子的朋友,都是匈牙利犹太人,两家都很早皈依基督教,融入当地社会。前者出身巨富贵族家庭,著名神童,著名数学家,但53岁英年早逝。后者出身中产阶层,物理学家,获1963年诺贝尔物理学奖。他俩从小是同学,同到柏林读大学,同到美国普林斯顿大学工作,一起成为美国公民,一起参加曼哈顿计划。顶尖科学家之间经常存在让人惊讶的联系。右为1928年海森堡与维格纳在柏林。
经常有朋友指责、嘲笑基督教不讲理性与逻辑,包括很多在海外学习生活几十年、拿到博士学位的人。其实唯心主义哲学是标准的理性,这就是为什么康德的书叫《纯粹理性批判》,他批判的就是传统唯心主义哲学,但大多数国人不知道。而科学在本质上不理性,比如休谟严谨分析过的“归纳法丑闻”,但大多数国人也不知道【16】。撇开这些不谈,现在的问题是,如果这些朋友面对科学违反逻辑和理性的确切证据,他们能不能做到一视同仁,敢于批判和嘲笑科学?
在量子物理中,人观测启动坍缩,但坍缩结果不受人、或任何现实因素决定。在海森堡之后,科学家们视野变宽,把彼岸世界纳入考虑范围,并在其中的机械因素中继续寻找,却再次彻底失败。于是他们举手投降,宣布坍缩结果完全随机。这明显违反逻辑与理性。在逻辑学里,这个科学结论违反充分理由律PSR,就是“事出必有因”论。如果任何人坚守理性与逻辑原则,就必须相信每次坍缩结果都有其充分理由。这个理由不在现实,也不在人,必然在彼岸世界里。它不属于机械因素范畴,并且我们已经知道它能够左右现实,就是有能动性,所以它是一种自主意识与意志。一个居于彼岸世界、主宰现实、非人的自主意识就是神。

图13. 为填补科学留下的逻辑漏洞,推测人与神在坍缩中的作用。其中人或神的意识启动坍缩,神单独决定每次坍缩结果。如此解释符合逻辑,尤其逻辑公理PSR。
人能知晓抽象量子状态空间,只因人感知到现实,然后将之与逻辑结合、顺藤摸瓜到彼岸世界。人了解到彼岸世界的一部分,但没理由相信人能知晓它的全部。彼岸世界高于现实,制约现实,直至决定现实,但基于简单逻辑,彼岸世界里完全可能有很多内容不反映到现实里,比如只反映到人头脑里,或就呆在彼岸世界内部,不反映到任何其他地方。依据类似推理,康德说物体的本体,人既不能依靠感官感知,也不能用头脑理解。他是虔诚的基督徒,明确讲人不可能感知神,因为神是纯本体,没有现象。早于康德,几千年来很多神学家根据《圣经》获得相似理念。神超越人的感知与认知,人可能知道一些关于神的事,但不可能知道神的全部。量子物理旁证了这些哲学与神学观念。
生命的历史短于宇宙寿命。在人与动植物出现之前,什么因素造成量子态坍缩成现实呢?结合“意识造成坍缩”观点,我们可以推测,那时坍缩的原因应该是神,因为神就是一种意识。这与《圣经》中“神创造宇宙”的记述不谋而合。今年是海森堡创立矩阵力学一百周年。量子理论如此现代,却与古老的基督教、更古老的《圣经》、和唯心主义哲学如此环环相扣,难道不让人惊讶吗?当科学与基督教和唯心主义哲学越走越近时,那些号称自己相信科学、所以不相信基督教和唯心主义的人,情何以堪?在中国,这类男女数以亿计。他们高傲地宣布,自己信任逻辑,所以信仰科学、反对宗教。当发现科学违反逻辑、基督教符合逻辑时,他们会不会像叶公好龙那样,看到“龙”真来了,不但没有上前拥抱,反而吓得落荒而逃?
2025年8月13日
电邮:yuanzhiluo@yahoo.com 博客网址:https://lyz.com
读者评论
https://bbs.wenxuecity.com/memory/1802788.html
注释
1. Fritjof Capra, 1988, Uncommon Wisdom: Conversations with remarkable people, Simon & Schuster, ISBN 0671473220, https://coherentuniverse.com/howling-with-wolves/
2. Buckley, P. and Peat, F.D. (1996) Glimpsing Reality: Ideas in Physics and the Link to Biology, University of Toronto Press.
3. De Haro, Sebastian (2020). "Science and Philosophy: A Love–Hate Relationship". Foundations of Science. 25 (2): 297–314.
4. Werner Heisenberg, 1958, Physics and Philosophy: The Revolution in Modern Science, Harper Perennial Modern Classics 2007, ISBN 0061209198
5. Ken Wilber, 2001, Quantum Questions: Mystical Writings of the World's Great Physicists, Shambhala Publications, p. 52, ISBN 978-0-8348-2283-2
6. Algis Valiunas, 2019, The Most Dangerous Possible German, The New Atlantis, https://www.thenewatlantis.com/publications/the-most-dangerous-possible-german
7. Wilber, Ken, 20010410, Quantum Questions: Mystical Writings of the World's Great Physicists. Shambhala Publications. p. 52. ISBN 978-0-8348-2283-2.
8. Aage?Petersen in Bulletin of the Atomic Scientists (1963),
9. San José State University, The Drama in the Development of Quantum Mechanics in 1926–27. https://www.sjsu.edu/faculty/watkins/quantumdrama.htm
10. 骆远志,2023,为什么人不应该信仰科学或逻辑,https://lyz.com/godel-incomplete/
11. S Sivasundaram, KH Nielsen, 2016, Surveying the attitudes of physicists concerning foundational issues of quantum mechanics, arXiv preprint arXiv:1612.00676
12. Werner Heisenberg, 1974, "Scientific and Religious Truth," Public Speech
13. Pais, Abraham, 1993, Niels Bohr's times: in physics, philosophy, and polity (Repr. ed.). Oxford: Clarendon. ISBN 978-0-19-852049-8.
14. Dan Styer, A Brief History of Quantum Mechanics, Oberlin College Physics Department, https://www2.oberlin.edu/physics/dstyer/StrangeQM/history.html
15. 骆远志,2021,为什么马克思主义哲学错了,https://lyz.com/sci_marx_god/
16. 骆远志,2024,从巴门尼德到康德---漫谈理性主义哲学,https://lyz.com/ parmenides-kant/
17. 骆远志,2025,通俗解释彼岸世界与唯心主义,https://lyz.com/other-world/
18. 骆远志,2018,为什么现代科学诞生在西欧、不在中国,https://lyz.com/modern-science/
19. Miller, Arthur I. (2003). 'Erotica, Aesthetics and Schrodinger's Wave Equation'. In Farmelo (ed.), pp. 1 10-131. https://samim.io/dl/Erotica-Aesthetics-and-Schrodingers-Wave-Equation-by-Arthur-I-Miller.pdf
