越来越像明末 前清的和尚也不是东西
2025-8-7
前几天因为河南少林寺的花和尚释永信暴雷,说到了明末和后清的和尚,都不守清规戒律和佛门法度喜欢装逼和日逼。有的人喜欢比烂,就说西方基督教的牧师也日逼,而且印度教的和尚,逼日的就更厉害。
那是自然,因为孔夫子说,食色性也。大家都日逼,按照当下的理论,就等于没日逼。少林寺的大和尚日逼,也就给司空见惯习以为常一逼勾销提前超度了。于是乎太平盛世皆大欢喜人人有逼日,天天有逼日。
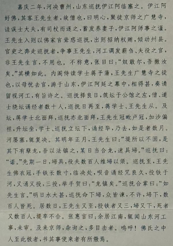
其实朝前朝后看,咱前清的和尚也好不到哪里去,因为自康熙以降历代皇帝都崇佛敬佛,慈禧皇太后则赤膊上阵,自称老佛爷,所以前清的和尚才敢于胆大妄为蹬鼻子上脸。黄濬在《花随人圣庵摭忆》这部史料笔记的第一三八则题为《清代高官宠信高僧》一文中就转述《茗柯集》中记载的北京广惠寺法号为明心的大和尚王树勋,在嘉庆朝随山东巡抚伊江阿蓄发养妻生子,当朝廷命官巡河太守草菅人命一事,并说可以和舒铁云的《瓶水斋集》故事相表里,也就是说这不是孤证。

只是这广惠寺的高僧王树勋更是技高一筹,不仅如释永信般吃喝嫖赌、百子登科、五毒齐全,还能摇身一变,贵为襄阳知府的朝廷命官,翻云覆雨,宦海沉浮,尽享人间花花太岁的极乐风流。

清朝还有另外一部笔记小说《啸亭杂录》,也记录了广惠寺大和尚王树勋的故事,说他幼入京应试不售,乃于广慧寺为僧,属于半路出家,却使京城士大夫多崇信之的空前盛况:
王树勋,江都人,幼入京应试不售,乃于广慧寺为僧,法名明心,性聪悟,剽窃佛氏絮语以为直通圆觉,又假扶乩、卜筮诸异术,京师士大夫多崇信之。蒋予蒲、庞士冠等以词垣名流,甘列弟子之位。其馀达官显宦为其门人者无算。蒋予蒲、庞士冠等,以词垣名流,甘列弟子之位。其馀达观显宦,为其门人者无算。诸名士以翰墨名流,而甘为缁衣弟子,以至遭其笞挞之辱,亦可谓斯文扫地矣。
王树勋后为时任江西道监察御史的石承藻举报东窗事发,和尚日逼养妻生子为官危害乡里的劣迹,才最终大白于天下。
