六四36周年纪念:什么样的人民注定被奴役
又到一年一度的六四纪念日,我还在向朋友们解释为什么人不应该把幸福当作人生信仰。在很多具体事务上,比如在商业领域里,人完全可以追求幸福。但幸福感最大化不应当作为人生最高目标,因为那样的话,人就成为效益主义者【3】,只适合专制独裁制度,自由民主就变得不可能。其实,社会信仰从来是政治制度的基础,但中国民主派一直缺乏相关讨论。
一 谈谈灵魂
人是自己身体的囚徒。人可以感到自己的灵魂、自我意识、头脑、理性智慧等;但人永远无法钻到别人、或别的物品里面,直接感受他们的灵魂、自我意识、头脑、或理性智慧。这几样东西紧密相关,都是人的特性,没有其一也就没有其他,所以以下讨论主要针对灵魂,用灵魂代表它们所有。别人可以告诉你他有灵魂,但你无法保证他没撒谎。AI机器人也可以说自己有灵魂,只为让你觉得它与你一样。但AI只是机器,因为从没有过灵魂,它根本不可能知道灵魂是什么。很多人小时候都有过闪念,“也许除我之外,世上所有人都是机器人!” 这个命题虽然荒诞,但深想起来,它竟然不可能被直接证伪。关于别人或物是否有灵魂,人只能通过观察其外在行为,然后间接推论。无论推论结果如何,都无法被直接验证,所以本质上永远是猜测。现代哲学之父笛卡尔说,“我思故我在”,其含义是“我只知道自己的灵魂存在,其他事情我都不确定”,就体现这个意思。庄子讲,“子非鱼,安知鱼之乐?” 也类似。
人性里包含强烈的自私。如果完全顺着人性,人总希望别人和物都没有灵魂。现代心理学发现,孩子成长过程中存在一个时期,觉得自己是世界唯一目的,全世界都为他而存在、为他一人服务。其实成年人也一样,只不过大多数人学会隐藏,只有少数人在特定场合里才敢于表达出来。比如几十年来我遇到过一些人,既有体制内的、也有体制外的,六四期间有、后来也有,私下讲自己要当总书记、大总统等,其本质就是要做人上人,让其他人都听我使唤、为我服务。古今中外很多成功的人都有类似心态。古希腊哲学家高尔吉亚(Gorgias 483–375BC) 提出唯我论(Solipsism),核心就是这个意思。一些文艺作品,比如电影《楚门的世界》(The Truman Show),也表现这个心理。人本性以自我为中心,希望所有其他人都是自己的工具。如果他们有灵魂,也就有了自己的利益、主张等,就不听我的、不再是我的好工具了。
当然,美梦不一定是真。另一批古希腊哲学家,如泰勒斯(Thales,约620-545BC)和阿那克西美尼(Anaximenes,约586-525 BC),代表另一个极端,相信物活论(Hylozoism),认为所有能运动的东西都有灵魂,包括石头、水、火、动植物等。如果没有灵魂,它们怎么会动?这些哲学家查己知物。他们觉得人抬手拿东西、或迈开腿走路,都因为人决定拿东西、或决定走路。决定就是做选择,是灵魂的一种表现。既然人有灵魂才可能做决定、人做决定才引发人运动,那么其他东西能运动,比如石头滚下山坡,就代表它也做了决定、也有灵魂。
二 石头有灵魂吗?
现代中国精英,包括我的同学朋友们,觉得物活论可笑。石头怎么可能有灵魂?科学已经很好地解释了石头为什么会滚下山坡。根据大家熟悉的牛顿物理学,我们可以精准计算石头运动过程,只需要知晓山坡的斜度、石头与山坡的摩擦力、和石头自身质量。这些都是石头所处的环境因素、以及可预知的石头自身性质,完全不涉及石头做决定。没有决定或做选择,也就不需要灵魂,物活论的逻辑也就失效了。
但是,即使国内名牌理工科大学毕业生也经常不知道,牛顿力学并非唯一力学,还有其他等效体系,包括拉格朗日力学(Lagrangian mechanics)和哈密顿力学等。在这些力学体系中,石头,或任何物体,在运动中也做决定,与人相似,让初学者惊讶。以拉格朗日力学为例,我曾简单介绍过【1】,它由拉格朗日在18世纪后期创建,可以完全替代牛顿力学,而且适用范围更广。它不仅能处理石头滚落山坡这类经典力学问题,在微观粒子领域,牛顿力学不再适用,它依然有效。
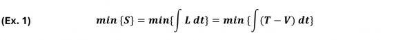
拉格朗日力学认为,任何物体运动的本质都是作用量最小化:

其中S是“作用量”;min{.}是最小化运算符,代表运动物体“做决定”,就是在所有可能路径中选择S最小者S*;t是时间;T是动能;V是势能。L是拉格朗日函数,L = T – V; S是L在时间域上的积分。运动物体的作用量类似人的工作量;运动物体“讨厌”作用量,类似人厌恶工作;人追求痛苦感最小化,运动物体则追求作用量最小化。以石块滚落山坡为例,在起始点、以及山坡上每一点,石块都“察觉”从当前到山脚之间所有可能状态路径,计算每条路径对应的作用量S,然后挑选其中最小者S*作为自己采用的路径。在观察者眼里,石头在下落过程中如同不停做决定。

图1. 石块下落的简化版。球状石头从直线山坡上滚落,延坡位移是x,山脚坐标为X。我们可以利用牛顿力学求解其路径函数x*(t)。如利用拉格朗日力学,问题就变成了在x-t空间中存在多条从(0, 0)到x=X的可能路径,其中作用量S最小的那条就是x*(t),*代表最优解。(具体求解经常在x-v空间里进行,然后转换到x-t空间。)
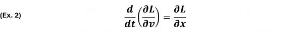
(Ex. 1)的最优解必然是个极值点,必须满足极值点相关条件,于是我们得到:

这就是著名的欧拉-拉格朗日方程,被誉为经典力学中最美方程。其中 v是速度,v = dx / dt。欧拉-拉格朗日方程与牛顿定律等效,在石块滚下山坡问题中很容易验证。只要把动能和势能的定义放入上面等式,简单推导后就得到牛顿第二定律。

图2. 拉格朗日(Joseph-Louis Lagrange,1736-1813)和欧拉(Leonhard Euler,1707-1783)。欧拉是瑞士人,数学和科学史上少见的大天才,主要活跃于德国和俄罗斯。拉格朗日比欧拉年轻许多,出生于意大利,活跃于法国。18世纪中叶,等时降线问题受到欧洲数理界广泛关注。等时降线是一个特殊曲线,将无摩檫力的小球放在曲线上任一点,它们开始依靠自身重力下滑,到达终点的时间都一样。欧拉首先给出求解方法。1755年,年仅19岁的拉格朗日写信给欧拉,提出改进方法。然后二人互相讨论,互相欣赏,共同发现欧拉-拉格朗日方程(Euler-Lagrange equation)。
本文重点不是物理,而是物理背后的哲学含义。拉格朗日力学隐含,无论有无生命,物体都好像有头脑,内部如同装有一部超级计算机。在运动路径中任一点,它都察觉从当前到终点之间的所有可能路径,计算每条路径对应的作用量,然后挑选其中最优者。
(Ex. 3) 在拉格朗日力学框架下,所有物体都做最优化抉择,如同有灵魂。
拉格朗日力学与古希腊的物活论相通。前者认为物体在运动中不停做最优化抉择,后者认为物体决定运动,最优化抉择当然就是一种决定。拉格朗日力学无疑是科学。我那些宣称信仰科学的朋友们会不会因此相信石头有灵魂?当然不会!因为拉格朗日力学的解释不是唯一。牛顿力学也可以完全解释物体运动,包括石头为什么滚落山坡,其中完全不涉及物体做决定、或物体有灵魂。
小结一下,人永远无法直接感知别人或物是否有灵魂,只能从他的外在行为间接推论。但有时别人或物的行为存在多种解释,既可以被解读为他有灵魂,也可以被解读为他没有灵魂。如果纯粹基于现实证据和逻辑,旁观者们无法回答他是否有灵魂。但基于自私目的,他们经常更愿意相信他没有灵魂。因为他们希望把他当作工具,控制他、利用他,为自己服务。如果承认他有灵魂,就要接受他有自己的想法和利益,他就不再是个好工具了。
三 对比效益主义者与石头

图3. 对比石头与效益主义者。旁观者有两种方式理解他们。第一种认为他们都做最优化抉择,因此都有智慧,都有灵魂;第二种认为,他们的行为表现都可以用环境因素和可预知的自身特点解释,于是灵魂变得没有必要,所以认为他们都没有灵魂。我曾在《六四35周年随想—谁真的爱自由?》【3】第四章中讨论效益主义者的利益最大化方程和解析解特点,那些结论是此处讨论的基础。
人都自私,古今中外一致。为了私利,人否认他人的人格,也就是否认他们具有灵魂、或他们的灵魂与自己的一样,然后就可以毫无节制地作恶。不但专制政府如此,老百姓也一样。苏北农民穷得娶不到媳妇,看似可怜。但他们残害铁链女,恶到无以复加。从秦汉到清朝,汉人普遍把欠发达的少数民族视同动物,认为他们可杀可剐。一个简单例子是汉语中少数民族的名称经常带犬字边或虫字边,如壮族原名为“獠”,瑶族为“猺”,东北的肃慎、靺鞨等为“貊”,蒙古草原上的游牧民族是“玁狁”或“狁”,而所有外族常被统称为“蛮”、“狄”等。西方基督教文化传来后,中国人才有了“天下人人灵魂平等”的观念,但至今还远未落实。基督教坚定相信人人灵魂都一样、都高贵,完全不在乎现实证据,因为现实证据不重要,在根本上无力解答有关人灵魂的问题。

图4. 笛卡尔在1637年出版名著《谈谈方法》,其中讲到“动物是机械”。这个观点后来成为西方思想界主流,直到今天。法国著名发明家与艺术家沃康松(Jacques de Vaucanson,1709-1782)依据笛卡尔观点,在1764年制作出一个机械鸭,与真鸭子形态相似,能走、能吃、能拉屎、能像鸭子叫等,被当时人们视作成功验证“动物是机械”的初步尝试,受到很多名人赞扬,包括伏尔泰。上图出自19世纪末一位美国画家,试图再现沃康松机械鸭的内部结构,在历史上很有名气,但后来被发现有错误。
笛卡尔是虔诚的基督徒,他的理论将人与动物彻底分开。关于人,他遵从基督教信仰,认为人人都有灵魂;关于动物,他明确认为只是机器。机器没有灵魂、只可能是人的工具、为人服务,不可能是人的目的、或服务对象。他认为动物也一样。后世哲学家讨论人与动物的本质,都以笛卡尔理论为基础,马克思也不例外。马克思认为人是动物,意思就是人是机器,也没有灵魂。或换一种不那么冒犯听众、但本质一样的说法,人的灵魂无足轻重。既然人是动物,人就应该被当作工具,不应该被当作社会发展的目的。马克思认为社会发展的目的是生产力进步,本质与灵魂无关。马克思主义者们也批判效益主义,认为它关注个人选择,还太仁慈,属于资产阶级思想。在马克思理论中,个人根本不重要,本质只是生产力发展的工具,就像螺丝钉一样,连选择权都不应该保留。
(Ex. 4) 忽视人的灵魂,等同于视人为动物或工具。
(Ex. 5) 效益主义者有灵魂吗?科学对此模棱两可;基督教相信有;马克思主义认为没有,或不重要到如同没有。
四 感怀自由民主
在六四纪念日,大家又谈起自由民主。现代自由民主有个基础理念,就是人人灵魂平等。其中包含每个人都有灵魂、灵魂都同样高贵,即使那人是政治对手。这套理念只来自基督教。其他宗教、文化、或主义,比如儒家学说、印度教、佛教、伊斯兰教、共产主义等,都没有。它们通常按等级、或敌我把人分成集团;在不同集团之间,人的灵魂或生命价值有高低贵贱之分。比如儒家分君臣、父子,共产主义强调阶级,要求无产阶级消灭资产阶级等。只有基督教认为所有人的灵魂都是神按自己模样造的,所以都高贵,都可以与神交流,本质和地位都一样。耶稣特别要求信徒,“要爱你的敌人”。
所谓政治自由,原意就是政府不干涉人如何追求神【2】;所谓政治民主,就是相信每个人都可以与神交流,并获得真理与正义,然后政府听从他们的意见,让公共决策更接近完美。我曾回顾现代自由民主思想的由来【2】。大约在400年前,虔诚的清教徒来到荒芜的北美,按《圣经》精神建构自己的社会。他们无心插柳柳成荫,在追求神的过程中,无意间创建了现代自由民主制度。自由民主,其实就是基督徒按基督教义组织社会时自然产生的一种政治形式。

图5. 基督教社会的自由民主。自由,就是政府不干涉人追求神,让每个人独立体会神意。民主,就是公共决策遵从大家意见。假设社会里每个人都信神,但人都不完美,也受到现实利益干扰。个人意见Si = Y + Ei,其中Y代表神意,体现真理与正义,但政府不知道;Ei代表个人i意见里包含的现实利益成分。在民主制度下,政府决策 G = ( ∑ Si ) / N,就是个人意见平均值。根据统计学里的大数定律,当社会总人数N足够大时,个人利益Ei几乎互相抵消,G ≈ Y,公共决策接近神意、大约体现真理与正义。相对比,在完全唯物的社会里,无人信神,如果实行自由民主政治,Si = Ei,个人意见完全被私利驱使,造成G不再反映神意Y,变得与真理正义无关,自由民主失去存在理由。
【进一步讨论模型:Si是关于具体事务。神是灵,是活的,因事而变,体现真理与正义。严格说,Y不是神意本身,而是在此时此地、关于此事、人可能知晓神意的极限。简单讲,Y就是隐藏的、最正确意见。比如抛掷硬币,神预知结果,但人在事前可能知晓神意的极限是50%/50%,所以Y是“正面概率为50%”。即使面对离散问题,Y也是连续变量。比如二选一总统选举,Y是候选人甲比乙更好的概率p。如果读者对数理严谨性要求高,可以把Y设成Logistic函数里p对应的自变量,于是Y ? (-∞, +∞)。在无神论社会里,如果施行自由民主,G就只是私利Ei相互抵消后的残余,与真理正义无关,数学上随机,现实中就是看谁拳头大,例如北洋政府时期,社会生活失序,发展停滞、徘徊。这其实就是黑格尔辨证历史观。他认为历史是螺旋式上升,其目标和驱动力都是绝对精神,就是神。没有神,社会只有螺旋、没有上升,也就是原地打转,停滞徘徊。中国就是个例子,两千年来周而复始,总体没什么进步。其实除西方之外,在世界其他文化中,哲人们一般认为历史本质就是周而复始,无所谓进步。儒家也不认为历史总体进步,而认为今不如昔,社会发展的终极目标就是回到西周。我非常欢迎较真的读者,为他们写下这段说明。】
信仰唯物论是个正反馈过程,经常自我强化。唯物论说“人是动物”。人越相信这个观念,就越唯利是图,变得越像动物,然后越觉得唯物论正确。社会里充斥这样的人,每个人自然觉得老百姓都是动物;为了长治久安,政府必须、也只能像对待动物那样对待他们。这就是专制,唯物论滋养专制。经过70多年、三四代人,中国已是个彻底的马克思主义社会。不但执政党和政府相信这个主义,普通老百姓也信;不但毛派信,民主派也一样;甚至很多受过洗的中国基督徒们,其内心也是马列毛思想。我们这批经历了89六四的大学生,算是在中国人里最支持自由民主的一群。其中大多数声称不相信马克思主义,但他们依然信仰无神论和唯物论,包括生产力决定生产关系那套。并且在面对人生大事时,他们追求个人幸福感最大化、也就是现实利益最大化。他们其实还是马克思主义者,只不过不自知。
我熟悉的六四活跃分子们,几十年来在追求个人幸福感最大化、或利益最大化过程中表现出智慧,感到自我存在与自我实现。他们以为政治自由就是追求现实利益最大化的自由;他们要求参与国家决策,希望因此获得更多利益,他们以为这就是民主。但在中国政府看来,他们与其他人一样唯利是图。如果给他们更多自由、或更多民主权力,他们只会放大自己的自私自利,更肆无忌惮地追求自己的利益、或自己所属集团的利益,对国家与社会整体没什么好处。我们不得不说这个观察是对的。唯物主义者和效益主义者们的心里没有超越现实利益的真理或正义。如果有更多选择权,他们只会用之以自肥,对社会无益。面对这样的老百姓,政府自然觉得马恩列斯毛说得对,就应该对他们实施专政,压制他们的自私自利,把他们变成社会的螺丝钉、党与政府的老黄牛。只有这样,社会才会安定、国家才会发展。中国的专制于是延续。
即使共产党倒台、民主派上台,后者也会发现前者早已发现的局面。这个国家的人民都极端唯物,内心没有超越现实利益的真理与正义,所以本性类似动物、唯利是图。他们又普遍聪明,正确地发现身边人如同动物,于是心安理得地视彼此为刍狗。人不把人当人看,如有必要,就残暴对待彼此,还理直气壮,发出豪言壮语如“留岛不留人”、“把贪官全枪毙了”、或“把反贼全杀光”等。一群为“争食”不惜吃掉同伴的“动物”,如果施行自由民主,内部争权夺利必然加剧,国家又会像北洋时期那样进入乱世。17世纪英国哲学家霍布斯早指出,这样的人民只适合专制制度,政府对待他们必须像利维坦那样残暴可怕。因此民主派如果对国家负责,掌权后也会放弃自由民主,重回专制传统。在六四前后几年里,在国内外压力下,中共曾推广农村基层选举试点。上级派到农村的干部数量减少,民选干部比例增加。但后来历史表明,民选干部得到权力后大多只顾自己、或自己家族利益,其中高比例变成村霸、乡霸等,总体效果不好。农村基层民主于是驻足不前。
(Ex. 6) 把现实利益当作最高追求的人民,视彼此为动物或工具,只适合专制,不适合自由民主。
(Ex. 7) 苏联式共产制度、东方传统专制等,都奴役老百姓,视他们为动物和工具。
当下,大家都看得出,中国政治问题很多,自由民主难行,未来危机四伏。国人也都关注政治,同学朋友们平时特别喜欢讨论政治。但中国政治问题的根源、以及解决问题的钥匙,都不在政治范畴内部,而在于民族信仰。
注释
1. 骆远志,2021,不包含“力”的力学理论,https://lyz.com/newtonian_simplified/
2. 骆远志,2023,现代自由民主思想到底怎么来的?https://lyz.com/ liberty-bible/
3. 骆远志,2024,六四35周年随想—谁真的爱自由? https://lyz.com/64-35years/
2025年6月6日,本想六四前完成,但写得总比计划慢。
电邮:yuanzhiluo@yahoo.com 博客网址:https://lyz.com
读者评论
https://blog.creaders.net/u/13147/202506/517686.html
https://bbs.wenxuecity.com/memory/1781666.html
https://bbs.wenxuecity.com/641989/1781095.html
