请看川普团队真正使用的关税公式,不要被编造的假公式忽悠。
下面的公式才是川普团队真正使用计算税率的公式而且公式的使用也不是一成不变,永远使用,川普的草台班子会根据在对各国使用的过程中根据情况进行调整和做出变化。
公式如下:

前言:
美国目前的财政状况是:
1,背负着37万亿的国债,每年利息1万亿。
2,收入5万亿,支出7万亿,缺口2万亿。
3,贸易逆差1.2万亿。【如果能够让这1.2万亿成为零,那么就减少了美国一个很大的负担了。】
显然这样的财政状况,全世界每一个明白人都知道,美国将要破产了。
这样一种状况让很多对美国怀有敌意的国家看在眼里,笑在心里。
同时也让很多像川普一样的美国人看在眼里,急在心里。
所以一批像川普,万斯,马斯克这样已经功成名就,衣食无忧的亿万富翁也不得不放弃自己悠闲的富裕生活出来帮助美国重新回归到正确的轨道上来。
于是他们聚集在一起,组成了一个“草台班子”并且在2024竞选成功,步入白宫,领导美国,开始了一场变革甚至可以说是一次革命。
2025年4月3日,星期四
是一个值得纪念的日子。美国总统川普正式宣布对全世界的对等关税。
总统宣布对所有从外国进入美国的商品统一征收10%的基准关税。此外,对“不公平贸易行为最严重”的增加60个额外关税。其中,对欧盟和中国分别征收20%和34%的关税。对中国的额外关税是在川普双方实施的20%关税基础上追加,这样对中国进口商品的总关税为54%,在博文发表前,川普对习总的关税进一步追加到104%了,实际上宣布美中贸易彻底脱钩。这样可以进一步证明万维某人给川普贴的标签:
【川普一贯舔习】
2025 年 4 月 2 日,川普在白宫举行的“让美国再次富裕起来”贸易公告活动上发表讲话时举着一张图表(图片来源:Chip Somodevilla/Getty Images)
川普说这是美国的“解放日”。川普的讲话震动全世界,并引发全球对贸易战的担忧。股市立即大幅度下跌,关税的规模和范围令消费者感到担心。习总立即做出反应,次日宣布“对原产于美国的所有进口商品加征34%关税”。当然后果是让一贯‘’舔习‘’的美国总统川普把对中共的关税追加到104%。
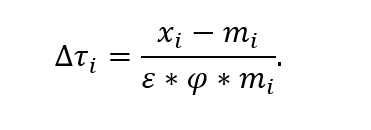
为了理解对等关税的真实含义,
我们拿到了川普团队使用的:
【额外关税的计算公式】:

这个公式其实并不太复杂,只需要说 明公式里的几个符号表示的意义。具体公式大家也不必太在意,
但是大家明白和理解川普团队使用这个公式计算税率真正要达到的目的是什么?
川普团队就是要通过使用这个公式让:
美国进出口贸易额实现平衡
______________
进一步说明:
即美国政府希望通过提高关税
1,提高进口产品的价格,
2,从而降低进口量,
3,最终达到进出口贸易额对等, 即零差,或者是顺差。
下面说明公式里符号表示什么
1,Aτ_i 是新增加的额外关税率(关税税率的变化)。
【为了写作方便,用A代表公式中的小三角】
2,ε 是进口产品的需求弹性(elasticity of import)。需求弹性是经济学里的一个基本概念,其定义为:
需求弹性=需求量波动百股/价格波动百股。
这里,美国政府取其数值4。相反,如果进口价格上涨10%,那么进口量就会降低40%。
3,φ 表示所谓的传递,即关税提高后有多少会反映在进口价格里。这里,美国政府取其值为0.25,即25%。
4.m-i表示美国对i国的进口总量。
5,x-i表示对i国的出口总量。
明白了上面公式中符号表示的定义后,如果有兴趣就可以用公式计算了。:
目的:通过关税附加关税,把贸易逆差降至为零。
假若额外关税的关税比例为10%,进口价格就会增加2.5%(=10%×25%)。
进口价格增加2.5%,进口量就会减少10%(=4×2.5%)。
进口量减少10%,进口额就会减少10%*当前进口额。
所以,只需选择一个合适的Aτ_i,让进口额减少量=当前的贸易差额(x_i - m_i),
贸易逆差就可以实际情况减少,平衡甚至变成顺差。
如果大家有兴趣可以自己计算一下。
由于美国政府对 ε 和 φ 这两个参数的取值分别为 4 和 0.25,两者相乘刚好为 1,所以那个公式
就可以简化成
额外增加关税率 = (出口量 - 进口量)/ 进口量
川普团队的税率公式就是在这样一个目的下诞生的。
<<<<<<>>>>>>>>
这是美国官方使用的计算公式。
我之所以写这篇文章的目的是让那些根本对川普对等关税毫无理解,而且对税率知识也是一知半解,而且用自己创造的公式那对川普的对等税率评头论足而丝毫没有对自己的半瓢水感到不足和遗憾。这些人因为极端反对川普而让自己情绪失控,逻辑混乱。他们反对川普的唯一方法就是首先给川普贴上一个标签,比如:
1,川普是独裁者。
2,川普是种族主义者
3,川普歧视妇女
4,川普是疯子
5,川普舔习跪金
6,川普的班子是草台班子
7,川普是孤立主义者
.............
凡此种种,不胜枚举。
然后,他们就站在道德和正义的制高点上把川普痛批一顿。
请问,既然你们这么聪明,这么智慧,这么能干,你们就在哈里斯的带领下拿出一个切实可行的具体方案来解决美国现在面临的财政危机,从而取代川普草台班子的方案呀,
你们反对川普已经具体实行了的下面行动中的哪一个,请说出来呀?
你们反对:
1,川普关闭美国边境。禁止非法移民进入美国。
2,川普把美国国境内非法移民犯罪分子遣送出境。
3,川普禁止学校男女同厕。
4,川普立法要求选民必须进行登记,选举必须出示ID。
5,川普禁止男性参加女子体育比赛。因为这些男性运动员参加女子比赛经常让他们的睾丸受伤。
6,川普禁止在入学和招聘时候采用DEI的标准录取,而是要用真正公平的原则,根据人们的能力,品德和身体来进行录取。
以上的仅仅只是一部分,你们究竟是反对其中的哪一条,还是全部反对,你们敢公开说出来吗?
<<<<<<<<>>>>>>>_______________
下面部分很枯燥,都是一些数字和计算,如果没有兴趣和耐心可以跳过不看。
【互惠关税计算
执行摘要
互惠关税是平衡美国与各贸易伙伴之间的双边贸易赤字所需的关税税率。这一计算假设持续的贸易赤字是由关税和非关税因素共同造成的,这些因素阻碍了贸易平衡。关税通过直接减少进口来发挥作用。
互惠关税税率从0%到99%不等,未加权和进口加权平均值分别为20%和41%。
为了将互惠关税概念化,计算了使双边贸易赤字降至零的关税税率。虽然国际贸易模型通常假设贸易会随着时间的推移而自我平衡,但美国五十年来一直存在经常账户赤字,这表明大多数贸易模型的核心前提是不正确的。
贸易逆差无法平衡的原因有很多,其中关税和非关税经济基本面是主要因素。美国产品的监管壁垒、环境评估、消费税率差异、合规障碍和成本、货币操纵和低估都阻碍了美国商品的出口,并使贸易平衡被扭曲。结果,美国消费者需求从美国经济转移到全球经济,导致自 1997 年以来有 9 万多家美国工厂关闭,制造业劳动力减少了 660 多万个工作岗位,比巅峰时期减少了三分之一以上。
虽然单独计算每个国家数以万计的关税、监管、税收和其他政策对贸易逆差的影响非常复杂,甚至不可能,但它们的综合影响可以通过计算与使双边贸易逆差降至零相一致的关税水平来代替。如果贸易逆差因关税和非关税政策和基本面而持续存在,那么与抵消这些政策和基本面相一致的关税税率就是互惠和公平的。
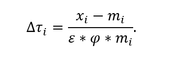
基本方法
考虑这样一个环境:美国对 i 国征收 τ_i 税率的关税,Aτ_i 反映关税税率的变化。令 ε<0 表示进口相对于进口价格的弹性,令 φ>0 表示关税对进口价格的传导,令 m_i>0 表示从 i 国进口的总量,令 x_i>0 表示对i国出口总量。那么,关税变化导致的进口减少量等于 Aτ_i*ε*φ*m_i<0。假设抵消汇率和一般均衡效应足够小以至可以忽略不计,导致双边贸易差额为零的互惠关税满足:
参数选择
为了计算互惠关税,我们提供了美国人口普查局 2024 年的进出口数据。选择了 ε 和 φ 的参数值。进口需求的价格弹性 ε 设定为 4。
最近的证据表明,从长远来看,弹性接近 2(Boehm 等人,2023 年),但对弹性的估计各不相同。保守起见,我们借鉴了发现弹性更高的研究,这些研究发现弹性接近 3-4(例如,Broda 和 Weinstein 2006 年;Simonovska 和 Waugh 2014 年;Soderbery 2018 年)。进口价格相对于关税的弹性 φ 为 0.25。美国最近对中国征收关税的经验表明,关税对零售价格的传导率很低(Cavallo 等人,2021 年)。
发现
互惠关税左删失为零。可能需要提高最低税率以限制税率的差异并减少转运。关税税率范围从 0% 到 99%。赤字国家的未加权平均值为 50%,全球未加权平均值为 20%。按进口加权,赤字国家的平均值为 45%,全球平均值为 41%。标准差范围从 20.5 到 31.8 个百分点。
<<<<<<>>>>>>>>>
.
